Holaa!!! N ecesito ayuda para plantear una ecuacion recursiva, mi enunciado dice que en una poblacion animal cada madre produce 2 hijas durante dos generaciones y luego muere.Yo creo que seria algo parecido a la sucesion de fibonacci, pero tambien podria pensarla como una matriz de Leslie.
Espero puedas ayudarme o guiarme para encararlo, Saludos!!!

¡Hola! Nos encantaría ayudarte, pero no solemos responder dudas universitarias que no tengan que ver específicamente con los vídeos que David Calle ha grabado como excepción. O de otras asignaturas que no sean Matemáticas, Física y Química. Lo sentimos de corazón… Esperamos que lo entiendas.
Ojalá algún unicoo universitario se anime a ayudarte (de hecho, lo ideal es que todos los universitarios intentarais ayudaros los unos a los otros).

Tienes el límite:
Lím((x,y)→(0,0) x2*y2/(x2+y4) = indeterminado (observa que el numerador y el denominador tienden ambos a cero).
Luego, observa la expresión de la función que tienes en el argumento del límite:
f(x,y) = x2*y2/(x2+y4);
a)
la expresión es positiva, ya que su numerador es una multiplicación de dos cuadrados, y su denominador es una suma de dos términos que son potencias con exponentes pares;
b)
expresas al argumento como multiplicación de expresiones, y queda:
f(x,y) = ( x2/(x2+y4) )* y2,
c)
observa que la expresión algebraica fraccionaria remarcada toma valores menores que uno para todo par (x,y) distinto de (0,0), ya que su numerador es positivo, y tienes en su denominador a su misma expresión sumada con otro término positivo, por lo que tienes que el numerador toma valores menores que el denominador y, por lo tanto, la expresión remarcada toma valores positivos menores o iguales que uno, y observa entonces que la expresión de la función tiende a 0 cuando (x,y) tiende a (0,0), por lo que inferimos que el límite es: L = 0, y nuestro problema consiste en demostrarlo;
d)
observa que tienes todo lo necesario para plantear el Teorema de Acotación (o de Encaje, o "del Sándwich"), que es muy útil para "esquivar" la definición de límite "con sus odiosos epsilones", como en forma muy atinada señala el colega Antonio;
e)
recuerda el enunciado (muy resumido), del Teorema de Acotación:
Si:
0 ≤ |f(x,y) - L| ≤ g(x,y)
y
Lím((x,y)→(0,0)) g(x,y) = 0,
entonces:
Lím((x,y)→(0,0)) f(x,y) = L.
f)
vamos ahora el planteo de la demostración, pro medio del Teorema de Acotación:
1)
planteas la primera hipótesis (recuerda que inferimos que el límite es igual a cero), y queda:
0 ≤ |( x2/(x2+y4) )* y2 - 0| = |( x2/(x2+y4) )* y2| ≤ aquí acotamos ≤ 1*y2 = y2 = g(x,y);
2)
planteas la segunda hipótesis, y queda:
Lím((x,y)→(0,0)) g(x,y) = Lím((x,y)→(0,0)) y2 = 0;
por lo tanto, tienes que se verifican las dos hipótesis del Teorema de Acotación, por lo que puedes concluir que el límite de tu enunciado es igual a cero (L = 0), tal como habíamos inferido al estudiar la expresión del argumento de de dicho límite, por lo tanto tienes:
Lím((x,y)→(0,0) x2*y2/(x2+y4) = 0.
Espero haberte ayudado.
Buenas, agradecería mucho que me explicaran por que mi razonamiento en esta operación está mal y la respuesta correcta de más abajo sí.
Hola! Me ayudarían con esto:
Calcular el siguiente limite y graficar. Indicar su dominio. f(x)= x2-25 / x-5
Gracias!!
Hola Vicky, tienes que factorizar el numerador x2-25=x2-52=(x-5)×(x+5), eliminas (x-5) de numerador y denominador y te queda x+5 en el numerador, en cuanto al dominio de la función original es x-5≠0→x≠5 entonces Df=ℛ-{5} y el dominio luego de sacar el limite son todos los reales y la gráfica es una recta. Espero haberte ayudado.
Se fabrican bolsas de plástico para empacar productos perecederos de manera que la resistencia a roturas tenga
una distribución normal con media de 20 Kg./m2
y desvió estándar de 6 Kg./m2
.
a) ¿Qué proporción de la producción presentará una resistencia menor a los 12,8 Kg./m2
o mayor a 33 Kg./m2
?
b) Si se selecciona una muestra de 20 bolsas, ¿cuál es la probabilidad de que la resistencia promedio muestral
esté entre 18 y 22 Kg./m2
?
c) ¿Entre qué dos valores simétricos respecto de la media estará la resistencia a la tensión del 95% de las bolsas
producidas?
d) ¿Entre qué dos valores simétricos respecto de la media estará el 95% de las resistencias promedio?
Heyyy
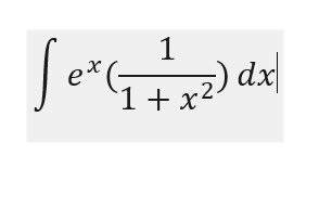
Chicos, tengo este ejercicio de integrales, intenté resolverlo por partes pero estoy dando vuelta en lo mismo
