Hola, me pueden ayudar con este problema
Determina el valor de K para que la recta Kx+y-15=0 sea tangente a la circunferencia x^2 + y^3 +6x -8y -1=0
Podríais ayudarme a resolver estas ecuaciones.? Por más vueltas que le doy.. No hay manera. Muchas gracias
sen(2X)+3cos(X)=1
4 cos(2X)+3cos(X)=1

1)
Por favor, verifica que esté correctamente escrita la ecuación para que podamos ayudarte.
2)
Tienes la ecuación trigonométrica:
4*cos(2x) + 3*cosx = 1, aplicas la identidad del coseno del doble de un ángulo en el primer término, y queda:
4*(cos2x - sen2x) + 3*cosx = 1, distribuyes el primer término, y queda:
4*cos2x - 4*sen2x + 3*cosx = 1, aplicas la identidad del seno en función del coseno en el segundo término, y queda:
4*cos2x - 4*(1 - cos2x) + 3*cosx = 1, distribuyes el segundo término, y queda:
4*cos2x - 4 + 4*cos2x + 3*cosx = 1, reduces términos semejantes, restas 1 en ambos miembros, ordenas términos, y queda:
8*cos2x + 3*cosx - 5 = 0 (1);
luego, aplicas la sustitución (cambio de incógnita):
cosx = w (observa que w debe tomar valores comprendidos entre -1 y 1);
luego, sustituyes en la ecuación señalada (1), y queda:
8*w2 + 3*w - 5 = 0,
que es una ecuación polinómica cuadrática, cuyas soluciones son:
a)
w = ( -3 + 13 )/16 = 10/16 = 5/8 = 0,625,
que corresponde a:
cosx = 5/8,
compones con la función inversa del coseno en ambos miembros, y queda:
x1 ≅ 51,318° (en el primer cuadrante)
x2 ≅ 308,682° (en el cuarto cuadrante).
b)
w = ( -3 - 13 )/16 = -16/16 = -1,
que corresponde a:
cosx = -1,
compones con la función inversa del coseno en ambos miembros, y queda:
x3 ≅ 180°.
Espero haberte ayudado.
Hola buenas, ayer me pusieron este ejercicio, pero no se como hacerlo, me pueden ayudar? Demostrar que algebraicamente que A (A + B) = A. Gracias
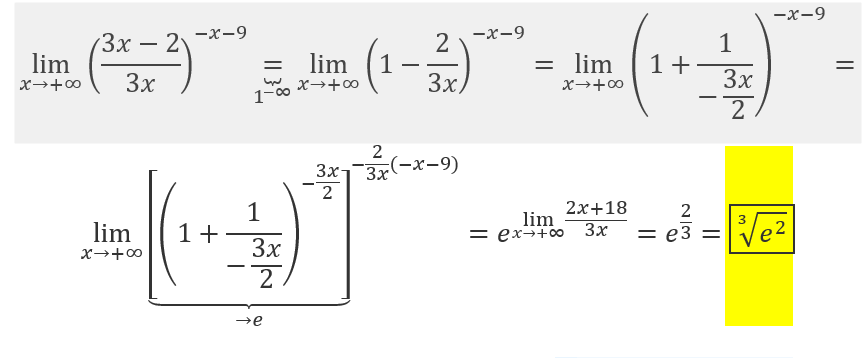
Hola, cómo podría realizar esos dos ejercicios?, y otra cosa, hay algunos vídeos que me puedan ayudar a entender cómo resolver ejercicios similares? ![]()

¡Hola! Nos encantaría ayudarte, pero no solemos responder dudas universitarias que no tengan que ver específicamente con los vídeos que David Calle ha grabado como excepción. O de otras asignaturas que no sean Matemáticas, Física y Química. Lo sentimos de corazón… Esperamos que lo entiendas.
Ojalá algún unicoo universitario se anime a ayudarte (de hecho, lo ideal es que todos los universitarios intentarais ayudaros los unos a los otros).