
Tienes el dato:
P(0) = -2, reemplazas la expresión evaluada del polinomio en el primer miembro, y queda:
a(0)2 + b(0) + c = -2, resuelves términos, cancelas términos nulos, y queda:
c = -2 (1).
Tienes el dato:
P(-1) = --3, reemplazas la expresión evaluada del polinomio en el primer miembro, y queda:
a(-1)2 + b(-1) + c = -3, resuelves términos, y queda:
a - b + c = -3, reemplazas el valor señalado (1), y queda:
a - b - 2 = -3, sumas 2 en ambos miembros, y queda:
a - b = -1, sumas b en ambos miembros, y queda:
a = b - 1 (2).
Tienes el dato:
-2 es raíz del polinomio, por lo que puedes plantear:
P(-2) = 0, reemplazas la expresión evaluada del polinomio en el primer miembro, y queda:
a(-2)2 + b(-2) + c = 0, resuelves términos, y queda:
4a - 2b + c = 0, reemplazas el valor señalado (1), y queda:
4a - 2b - 2 = 0, sumas 2 en ambos miembros, y queda:
4a - 2b = 2, divides por 2 en ambos miembros, y queda:
2a - b = 1 (3).
Luego, sustituyes la expresión señalada (2) en la ecuación señalada (3), y queda:
2(b - 1) - b = 1, distribuyes el primer miembro, y queda:
2b - 2 - b = 1, sumas 2 en ambos miembros, reduces términos semejantes, y queda:
b = 3;
luego, reemplazas este último valor remarcado en la ecuación señalada (2), resuelves y queda:
a = 2.
Luego, reemplazas los valores remarcados en la expresión del polinomio que tienes en tu enunciado, y queda:
P(x) = 2x2 + 3x - 2.
Luego, evalúas para el valor en estudio (x = -1/2), y queda:
P(-1/2) = 2(-1/2)2 + 3(-1/2) - 2, resuelves términos, y queda:
P(-1/2) = 1/2 - 3/2 - 2, resuelves el segundo miembro, y queda:
P(-1/2) = -3 ≠ 0,
por lo que puedes concluir que -1/2 no es una raíz del polinomio P(x).
Espero haberte ayudado.
hola unicoos, ando necesitando ayuda para el siguiente problemita:
Un mago solicita a uno de los presentes que piense un nº de tres dígitos (abc), luego le pide que forme los números (acb), (bac), (bca), (cab), (cba), que sume estos 5 números y que diga el resultado N. Con este dato el mago identifica el nº original (abc). Haga el papel de mago y determine (abc) si N=3194
se que la respuesta es: 8 fracciones
disculpen las molestias. gracias!
buenas, alguien me pude ayudar a resolverte esta actividad
Tres jugadores A, B y C arrojan alternativamente (en ese orden) una moneda equilibrada. Los jugadores A y B ganan el juego si en alguna de sus tiradas obtienen el mismo resultado que C en su tirada anterior, mientras que C gana si obtiene en alguna tirada el mismo resultado que A en su anterior intervención. El juego finaliza cuando algún jugador gana. Si A apuesta $20, ¿cuánto deben apostar B y C para que las chances sean parejas? (R: A = $20, B = $10, C = $40)
gracias
alguien sabe como resolver este:
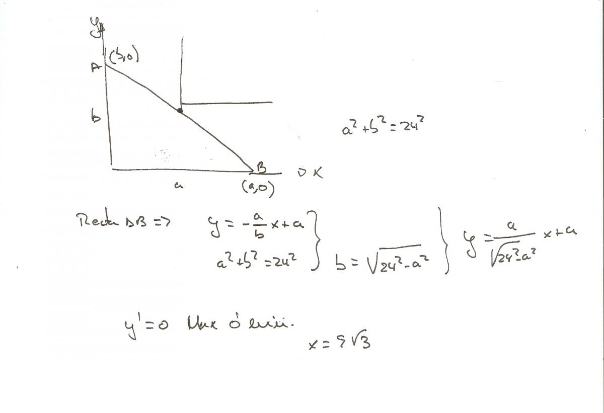
Un pasillo de 3m de ancho intersecta a otro pasillo en ángulo recto. Un poste de 24m de largo es arrastrado por el suelo del primer pasillo. ¿Qué ancho debe tener el segundo pasillo para que el poste pueda doblar la esquina? (El espesor del poste se considera despreciable).
Respuesta: 9 por raíz cuadrada de 3
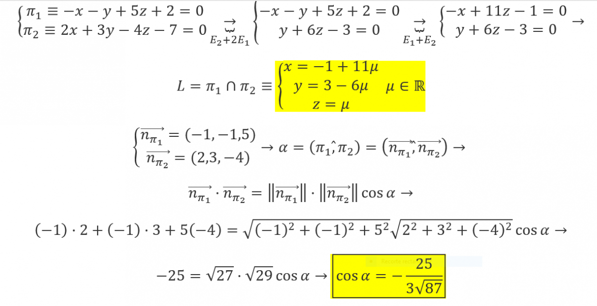
Hola Unicoos!! ¿Podría alguien resolverme este problema que muestro en la foto sobre espacios vectoriales euclídeos? Muchas gracias

¡Hola! Nos encantaría ayudarte, pero no solemos responder dudas universitarias que no tengan que ver específicamente con los vídeos que David Calle ha grabado como excepción. O de otras asignaturas que no sean Matemáticas, Física y Química. Lo sentimos de corazón… Esperamos que lo entiendas.
Ojalá algún unicoo
universitario se anime a ayudarte (de hecho, lo ideal es que todos los
universitarios intentarais ayudaros los unos a los otros