
¡Hola! Nos encantaría ayudarte, pero no solemos responder dudas universitarias que no tengan que ver específicamente con los vídeos que David Calle ha grabado como excepción. O de otras asignaturas que no sean Matemáticas, Física y Química. Lo sentimos de corazón… Esperamos que lo entiendas.
Ojalá algún unicoo universitario se anime a ayudarte (de hecho, lo ideal es que todos los universitarios intentarais ayudaros los unos a los otros).

¡Hola! Nos encantaría ayudarte, pero no solemos responder dudas universitarias que no tengan que ver específicamente con los vídeos que David Calle ha grabado como excepción. O de otras asignaturas que no sean Matemáticas, Física y Química. Lo sentimos de corazón… Esperamos que lo entiendas.
Ojalá algún unicoo universitario se anime a ayudarte (de hecho, lo ideal es que todos los universitarios intentarais ayudaros los unos a los otros).

Tienes un sistema de dos ecuaciones lineales de primer grado y con tres incógnitas.
Comienza por restar 3x y pro restar y en la segunda ecuación, y queda:
z = -1 - 3x - y (1);
luego, sustituyes la expresión señalada (1) en la primera ecuación, y queda:
5x - 5y - (-1 - 3x - y) = -15, distribuyes el signo en el agrupamiento, y queda:
5x - 5y + 1 + 3x + y = -15, restas 1 en ambos miembros, reduces términos semejantes, y queda:
8x - 4y = -16, divides por -4 en todos los términos de la ecuación, y queda:
-2x + y = 4, sumas 2x en ambos miembros, y queda:
y = 2x + 4 (2);
luego, sustituyes la expresión remarcada y señalada (2) en la ecuación señalada (1), y queda:
z = -1 - 3x - (2x + 4), distribuyes el signo en el agrupamiento, y queda:
z = -1 - 3x - 2x - 4, reduces términos semejantes, y queda:
z = -5x - 5.
Luego, con las dos expresiones remarcadas (observa que son expresiones de las incógnitas z e y en función de la incógnita x), tienes que el sistema de ecuaciones es compatible indeterminado, y sus infinitas soluciones quedan expresadas:
x ∈ R,
y = 2x + 4,
z = -5x - 5.
Espero haberte ayudado.

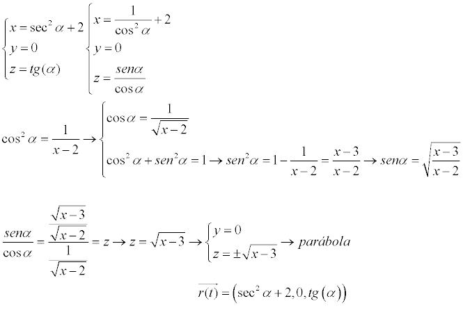
¡Hola! Nos encantaría ayudarte, pero no solemos responder dudas universitarias que no tengan que ver específicamente con los vídeos que David Calle ha grabado como excepción. O de otras asignaturas que no sean Matemáticas, Física y Química. Lo sentimos de corazón… Esperamos que lo entiendas.
Ojalá algún unicoo universitario se anime a ayudarte (de hecho, lo ideal es que todos los universitarios intentarais ayudaros los unos a los otros).

Tienes un sistema de ecuaciones cartesianas paramétricas de la curva, con parámetro α.
a)
Planteas la expresión de la función vectorial de posición de los puntos de la curva C, en la que sus componentes son las expresiones que tienes en los segundos miembros de las ecuaciones de tu enunciado, y queda:
r(α) = < sec2α + 2 , 0 , tanα >,
con α ∈ R, con la condición: α ≠ (2k+1)π/2, con k ∈ Z.
b)
Recuerda la identidad trigonométrica:
sec2α = 1 + tan2α;
luego, restas 2 en ambos miembros de la primera ecuación de tu enunciado, y queda:
x - 2 = sec2α (1);
luego, elevas al cuadrado en ambos miembros de la tercera ecuación que tienes en tu enunciado, y queda:
z2 = tan2α (2);
luego, sustituyes las expresiones señaladas (1) (2) en la identidad trigonométrica, mantienes la segunda ecuación que tienes en tu enunciado, y queda el sistema de dos ecuaciones cartesianas:
x - 2 = 1 + z2,
y = 0,
sumas 2 en ambos miembros de la primera ecuación, y el sistema queda:
x = 3 + z2 (3),
y = 0 (4),
y observa que la ecuación señalada (3) corresponde a un cilindro parabólico paralelo al eje OY, que se abre hacia el semieje OX positivo (observa que x toma valores positivos para todo valor de z), y observa también que la ecuación señalada (4) corresponde al plano OXZ, por lo que tienes que el sistema de ecuaciones cartesianas forma do por las ecuaciones señaladas (3) (4) corresponde a una parábola incluida en el plano OXZ, que es la intersección de dicho plano con el cilindro parabólico.
Espero haberte ayudado.

Recuerda que la medida de un ángulo inscrito en una circunferencia es igual a la mitad de la medida de su ángulo central correspondiente.
Luego, observa que el ángulo BDC es un ángulo inscrito en la circunferencia, y observa que el ángulo BOC es su correspondiente ángulo central, por lo que tienes que sus medidas cumplen la relación:
│BDC│ = (1/2)*│BOC│ (1).
Luego, observa que el triángulo BOC es isósceles, y que sus lados de igual longitud son: OB y OC,
por lo que sus ángulos con iguales medidas son: BCO y CBO, y ambos miden 20°,
por lo que tienes que el tercer ángulo, que es el ángulo BOC mide 140°, por lo que tienes:
│BOC│ = 140° (2).
Luego, reemplazas el valor señalado (2) en la ecuación señalada (1), resuelves, y queda:
│BDC│ = 70°.
Luego, por lo que se puede apreciar con las anotaciones que has hecho con lápiz, has resuelto correctamente el problema, por lo que debes consultar con tus docentes acerca del enunciado, porque puede haberse deslizado un error de impresión.
Espero haberte ayudado.
hola, me podrían ayudar con este problema:
Encuentre el monto simple producido por $100 000, a) al 4,5% anual durante un año, b) al 5,5% anual durante dos años, c) al 3,5% anual durante medio año, d) al 6% anual durante 8 meses, e) al 4% anual durante 15 meses, f) al 5% anual durante 10 meses.
Respuestas:
a) 104 500 b) 111 000 c) 101 750 d) 104 000 e) 105 000 f) 104 166
gracias

Recuerda la expresión del monto simple:
M = C*(1 + i) (1),
donde:
C = 100000 es el capital inicial, n es el tiempo que dura la inversión, e i es la tasa correspondiente,
y recuerda las distintas expresiones que tienes para un año:
1 año = 2 semestres = 3 cuatrimestres = 4 trimestres = 6 bimestres = 12 meses.
a)
Aquí observa que el tiempo que dura la inversión es un año,
luego tienes el dato: i = 4,5 % = 4,5/100 = 0,045 (anual),
luego reemplazas valores en la ecuación señalada (1), y queda:
M = 100000*(1+0,045) = 104500.
b)
Aquí observa que el tiempo que dura la inversión es dos años,
luego tienes el dato: i = 5,5 % (anual), que es equivalente a: i = 5,5*2 = 11 % = 11/100 = 0,11 (bianual),
luego reemplazas valores en la ecuación señalada (1), y queda:
M = 100000*(1 + 0,11) = 111000.
c)
Aquí observa que el tiempo que dura la inversión es medio año (un semestre),
luego tienes el dato: i = 3,5 % (anual), que es equivalente a: i = 3,5/2 = 1,75 % = 1,75/100 = 0,0175 (semestral),
luego reemplazas valores en la ecuación señalada (1), y queda:
M = 100000*(1 + 0,0175) = 101750.
d)
Aquí observa que el tiempo que dura la inversión es ocho meses (dos cuatrimestres),
luego tienes el dato: i = 6 % (anual), que es equivalente a: i = (6/3)*2 = 4 % = 4/100 = 0,04 (bicuatrimestral),
luego reemplazas valores en la ecuación señalada (1), y queda:
M = 100000*(1 + 0,04) = 104000.
e)
Aquí observa que el tiempo que dura la inversión es quince meses (cinco trimestres),
luego tienes el dato: i = 4 % (anual), que es equivalente a: i = (4/4)*5 = 5 % = 5/100 = 0,05 (pentatrimestral),
luego reemplazas valores en la ecuación señalada (1), y queda:
M = 100000*(1 + 0,05) = 105000.
f)
Aquí observa que el tiempo que dura la inversión es diez meses (cinco bimestres),
luego tienes el dato: i = 5 % (anual), que es equivalente a: i = (5/6)*5 = 25/6 % = 4,166 % = 4,166/100 =
= 0,04166 (pentabimestral),
luego reemplazas valores en la ecuación señalada (1), y queda:
M = 100000*(1 + 0,04166) = 104166.
Espero haberte ayudado.