Cordial saludo.
No sé de qué forma resolver el siguiente ejercicio de calculo diferencial:
** Calcular el volumen máximo de un paquete rectangular, que posee una base cuadrada y cuya suma de ancho + alto + largo es 144cm.
Agradezco mucho de antemano vuestra ayuda.
Por favor su ayuda!
Calcule proyeccion de U, W, verificar que los vectores W y V son ortogonales realizando el producto escalar entre ellos y dibujar la grafica.
Siendo U= (Ai -Bj); V= (5i + 3j) Nota: A y B reales positivos A < B
No entiendo como se hace ya que no tengo a W
Hola quisiera saber qué programa ha sido utilizado para dibujar como lo hace en el video de construcción de poligonos cuya url https://www.unicoos.com/video/dibujo/secundaria/construccion-de-poligonos/dada-la-circunferencia-circunscrita/division-de-la-circunferencia-en-5-y-10-partes-iguales
Yo suelo usar geogebra pero no tiene esa herramienta compás tan visual y didáctica.
Gracias

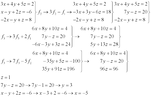
Observa que tienes un sistema de tres ecuaciones lineales, de primer grado y con tres incógnitas, por lo que planteas la expresión de su matriz ampliada, y queda:
3 4 5 2
1 -1 2 -6
-2 -1 1 8;
permutas las dos primeras filas, y queda:
1 -1 2 -6
3 4 5 2
-2 -1 1 8;
a la segunda fila le restas el triple de la primera, a la tercera fila le sumas el doble de la primera, y queda:
1 -1 2 -6
0 7 -1 20
0 -3 5 -4;
a la segunda fila le sumas el doble de la tercera, y queda:
1 -1 2 -6
0 1 9 12
0 -3 5 -4;
a la primera fila le sumas la segunda, a la tercera fila le sumas el triple de la segunda, y queda:
1 0 11 6
0 1 9 12
0 0 32 32;
a la tercera fila la multiplicas por 1/32, y queda:
1 0 11 6
0 1 9 12
0 0 1 1;
a la primera fila le restas la tercera multiplicada por 11, a la segunda fila le restas la tercera multiplicada por 9, y queda:
1 0 0 -5
0 1 0 3
0 0 1 1;
por lo que puedes concluir que el sistema es compatible determinado, y su solución única es:
x = -5, y = 3, z = 1.
Espero haberte ayudado.