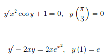
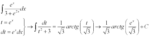
hola amigos de unicoos una ayuda con esta pregunta , cual es el procedimiento correcto para la siguiente integral, sabiendo que la expresión es la ecuación de la velocidad en función del tiempo , ya un unicoo me respondió , me dijo que la correcta es la de la derecha pero quisiera saber el por que , ya que en youtube encontré un vídeo de un ejercicio muy parecido pero fue resuelto con el método de integración por partes aquí les dejo el link: https://www.youtube.com/watch?v=cyamDCLJfkE

El desarrollo que tienes en tu imagen a la izquierda NO ES CORRECTO, y puedes apreciarlo porque cuando aplica el método de integración por partes, queda una expresión de dos variables para v (las variables son p y t). Y si quieres verificar el error, puedes derivar la expresión final que han obtenido, y verás que no recuperas la expresión que tienes en el argumento de la integral.
En cambio, a la derecha en tu imagen si tienes un desarrollo correcto, en el que han aplicado el método de sustitución (o de cambio de variable).Y si quieres verificar que es correcta la solución, puedes derivar la expresión final que han obtenido, y verás que sí recuperas la expresión que tienes en el argumento de la integral.
Espero haberte ayudado.
También se puede hacer tu integral aplicando el 'método de integración por partes' pero debes hacer bien la integral que te da la v; y por cierto, es mucho más difícil que por sustitución.
El video que nos ofreces está muy bien hecho.
Debes trabajar por separado las integrales que se hacen por sustitución o cambio de variable de las que se hacen por el método de integración por partes
y cuando domines ambas técnicas te será mucho más fácil saber cuándo debes elegir una u otra.
Además de estas dos, hay más técnicas para la resolución de integrales.
Saludos

Tienes la inecuación:
|1/x| ≤ 2,
y observa que ya tienes una condición a la vista: x ≠ 0.
Luego, distribuyes el valor absoluto entre el numerador y el denominador del primer miembro, y queda:
1/|x| ≤ 2,
multiplicas en ambos miembros por |x|/2 (observa que no cambia la desigualdad), y queda:
1/2 ≤ |x|,
escribes la desigualdad tal como la lees de derecha a izquierda, y queda:
|x| ≥ 1/2 (1).
Luego, a partir de la definición de valor absoluto, tienes dos opciones:
1°)
Si x < 0, observa que en este caso tienes: |x| = -x, sustituyes en la inecuación señalada (1), y queda:
-x ≥ 1/2, multiplicas en ambos miembros por -1 (observa que cambia la desigualdad), y queda: x ≤ -1/2;
luego, con las dos condiciones remarcadas, tienes el subintervalo: I1 = (-∞,-1/2].
2°)
Si x > 0, observa que en este caso tienes: |x| = x, sustituyes en la inecuación señalada (1), y queda: x ≥ 1/2,
luego, con las dos condiciones remarcadas, tienes el subintervalo: I2 = [1/2.+∞).
Luego, planteas para el intervalo solución de la inecuación de tu enunciado:
I = I1 ∪ I2 = (-∞,-1/2] ∪ [1/2.+∞).
Espero haberte ayudado.

Tienes la inecuación:
|3 + 1/x| ≤ 3,
y observa que ya tienes una condición a la vista: x ≠ 0.
Luego, extraes denominador común en el argumento del valor absoluto, y queda:
|(3x+1)/x| ≤ 3,
distribuyes el valor absoluto entre el numerador y el denominador en el primer miembro, y queda:
|3x+1|/|x| ≤ 3,
multiplicas en ambos miembros por |x|, y queda:
|3x+1| ≤ 3|x|,
expresas al primer factor como un valor absoluto (observa que este factor es positivo), y queda:
|3x + 1| ≤ |3|*|x|,
aplicas la propiedad del valor absoluto de una multiplicación en el segundo miembro, y queda:
|3x + 1| ≤ |3x| (1).
Luego, a partir de la definición de valor absoluto, tienes cuatro opciones (recuerda que ya tienes la condición: x ≠ 0):
1°)
3x + 1 ≥ 0 y 3x > 0 y 3x+1 ≤ 3x,
resuelves las tres inecuaciones (te dejo la tarea), y quedan:
x ≥ -1/3 y x > 0 y 1 ≤ 0,
y como la desigualdad remarcada es Falsa, tienes que el subintervalo correspondiente es vacío: I1 = Φ.
2°)
3x + 1 ≥ 0 y 3x < 0 y 3x+1 ≤ -3x,
resuelves las tres inecuaciones (te dejo la tarea), y quedan:
x ≥ -1/3 y x < 0 y x ≤ -1/6,
y como las tres inecuaciones son compatibles, tienes que el subintervalo correspondiente es: I2 = [-1/3,-1/6].
3°)
3x + 1 < 0 y 3x > 0 y -(3x+1) ≤ 3x,
resuelves las tres inecuaciones (te dejo la tarea), y quedan:
x < -1/3 y x > 0 y x ≥ -1/6,
y como las inecuaciones remarcadas son incompatibles, tienes que el subintervalo correspondiente es vacío: I3 = Φ.
4°)
3x + 1 < 0 y 3x < 0 y -(3x+1) ≤ -3x,
resuelves las tres inecuaciones (te dejo la tarea), y quedan:
x < -1/3 y x < 0 y -1 ≤ 0,
y como las dos primeras inecuaciones son compatibles y la desigualdad remarcada es Verdadera, tienes que el subintervalo correspondiente es: I4 = (-∞,-1/3).
Luego, planteas para el intervalo solución de la inecuación de tu enunciado:
I = I1 ∪ I2 ∪ I3 ∪ I4 = Φ ∪ [-1/3,-1/6] ∪ Φ ∪ (-∞,-1/3) = (-∞,-1/6].
Espero haberte ayudado.
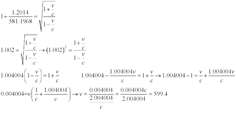
(esto es lo que me da hasta el momento)
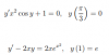
Buenos días. Tengo dos dudas de dos ejercicios diferentes. En el ejercicio 6, el problema es que no me da lo que me tiene que dar según la solución, por lo que si arrastro este error los otros apartados también me darán incorrectos. Por otro lado, en el ejercicio 8 me pasa exactamente lo mismo, no me da lo que me tendría que dar. Un saludo y muchísimas gracias por adelantado.
Hola!! Tengo una duda sobre estadística.
¿Cuando tenemos que hacer una gráfica de cajas y bigotes de datos agrupados en intervalos, como valor mínimo se toma el límite inferior del primer intervalo y como máximo, el límite superior del último o se ponen las marcas de clase del primer y último intervalo?
Mil graciaaaas!!!
POR FAVOOOR, ES URGENTEEEE!!!!!!

Noo!! Calcular los cuartiles sé hacerlo.
Me refiero a que en una gráfica de cajas y bigotes en los dos extremos de los bigotes hay que poner el valor más pequeño y el más grande. Al ser una distribución en intervalos, no sé si esos valores son las marcas de clase correspondientes o el límite inferior y superior.