Foro de preguntas y respuestas de Matemáticas

logo beUnicoos
Los foros de unicoos se han unificado en nuestra nueva plataforma beUnicoos. Para dejar nuevas preguntas deberás hacerlo allí, donde además podrás encontrar nuevas asignaturas y herramientas para ayudarte más con tus estudios.

  • icon

    Manuel Velasco Rengel
    el 4/11/18

    No entiendo porque se resuelve asi el ejercicio 2. Alguien me puede decir que formula ha utilizado ??? Gracias

    replythumb_up0 voto/sflag
    icon

    Yauset Cabrera
    el 4/11/18

    La fórmula que ha usado es: 1+tg2x=sec2x. Sustituye tg x por -2, para obtener sec2x=5 y despejar cos x en función del cuadrante al que pertenezca el ángulo... Espero haberte ayudado!!!

    thumb_up1 voto/sflag
  • icon

    Noora
    el 4/11/18

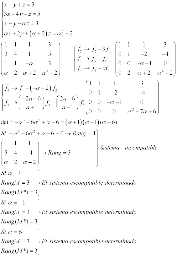
    Como puedo discutirlo mediante rouche frobenius y resolverlo por cramer? 

    replythumb_up1 voto/sflag
    icon

    César
    el 4/11/18

    Repásalo


    thumb_up0 voto/sflag
  • icon

    Joel Aday Dorta Hernández
    el 4/11/18


    replythumb_up0 voto/sflag
    icon

    César
    el 4/11/18

    https://matrixcalc.org/es/slu.html#analyse-compatibility%28%7B%7Ba,b,1,1%7D,%7B1,a%2Ab,1,b%7D,%7B1,b,a,1%7D%7D%29


    thumb_up0 voto/sflag
  • icon

    Javier Torrecilla
    el 4/11/18

     ¿Podrían ayudarme con este ejercicio, por favor?

    replythumb_up0 voto/sflag
    icon

    César
    el 4/11/18


    thumb_up1 voto/sflag
    icon

    Javier Torrecilla
    el 4/11/18

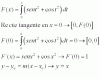
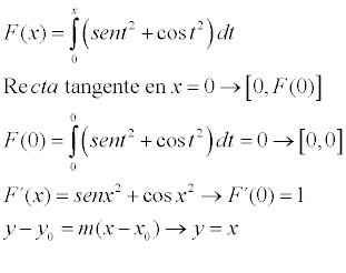
    ¿Cómo se llega a la expresión : F'(x)=cos2x+sen2x?

    thumb_up0 voto/sflag
    icon

    Antonio
    el 4/11/18

    u=∫v  u'=v

    thumb_up1 voto/sflag
  • icon

    Julián Orozco
    el 4/11/18

    Hola, alguien me puede ayudar con la siguiente duda...

    Escribe la ecuación de la parábola con vértice en el origen, foco en el punto A (0,3) y que pasa por el punto B (3,4). 

    Ya calcule la ecuación : 4x2-9y=0 

    Pero al momento de verificar el foco con esta ecuación no obtengo en foco que me dice el problema

    replythumb_up0 voto/sflag
    icon

    César
    el 4/11/18


    thumb_up0 voto/sflag
  • icon

    Mariano Cornejo
    el 4/11/18

    Hola unicoos quería saber cómo calculo la intensidad de la luz en la siguiente actividad, gracias.

    replythumb_up0 voto/sflag
    icon

    Antonio
    el 4/11/18

    Solo tienes que sustituir la x por 30 y despejar la l

    log(l/12)=-0.00235·30

    log(l/12)=-0.0705

    10-0.0705=l/12

    l=12*10-0.0705

    l=10.2019 lúmenes

    thumb_up0 voto/sflag
  • icon

    anaespo
    el 3/11/18

    Cómo se hace el apartado c y d??


    replythumb_up0 voto/sflag
    icon

    Antonio
    el 4/11/18

    Visualizando estos videos de covarianza y coeficiente de correlación podrás hacer tu ejercicio sin ningún problema.


    thumb_up0 voto/sflag
  • icon

    anaespo
    el 3/11/18

    Cómo se hace este ejercicio??sobre todo cuánto da la desviación típica?


    replythumb_up0 voto/sflag
    icon

    Antonio
    el 3/11/18

    Igual que en este video


    thumb_up0 voto/sflag
  • icon

    Marta Bigas Serrabassa
    el 3/11/18

    Buenas, alguien sabe como calcular la cantidad de términos de un polinomio?

    Por ejemplo (x+y+z)^3 tiene 10 términos.

    Gracias!

    replythumb_up0 voto/sflag
    icon

    César
    el 4/11/18

    (x+y+z)^n

    el número de términos será 

    1/2(n^2+3n+2)

    thumb_up0 voto/sflag