Tengo la siguiente duda, tengo que hallar la derivada de g (x) = 1 + |x + 2 | en el punto x = -2. Dada la funcion a trozos que figura en la imagen, debo analizar la continuidad en solo x = -3 o también en x = - 2? Muchas gracias![]()
Creo que tienes que calcular solo la del -2, ya que en -3, la función no es (x+3), si no (-x-1), ya que para que el valor absoluto haga su función, en x=-2 tiene que haber un cambio de signos en la función, no en x=-3, quiero decir, si tu dices que en x>-3 la funcion es x+3, entonces cuando sea -2,5, el valor de Y en la función que tu propones en ese valor sería (0,5), mientras que si utilizas la función original con el módulo, da (1,5), por lo tanto la funcion que propones no estan en los valores de x que propones, estan en (x+3 si x>-2) & (-x-1 si x<=-2), así si comparas los resultados sale coherente, cuando x= -1,5 da 1,5 y 1,5 en las dos funciones(por dar un ejemplo)
Con respecto a si es discontinua la verdad es que tengo dudas, no es que yo sea un profesional de las matematicas, pero la derivada es la recta tangente de un punto, mientras todos los puntos tengan valor es continua y es derivable, y la derivada de una recta como se muestra en la gráfica, es la misma recta, y la derivada sale 1, es decir pendiente de 45º, como se muestra en la gráfica, como digo, no soy profesional, pero los resultados coinciden.
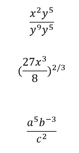
Buenas noches, agradeceria mucho si pudieran ayudarme con estos ejercicios. En el segundo ejercicio todo esta elevado a 2/3. Muchas gracias y un saludo


1)
(x2*y5)/(y9*y5) = simplificas = x2/y9.
2)
( 27*x3/8 )2/3 = ( 33*x3/23 )2/3 = ( (3*x/2)3 )2/3 = (3*x/2)2 = 32*x2/22,
aquí hemos expresado a los números como potencias, hemos asociado y simplificado potencias.
3)
a5*b-3/c2 = a5/(b3*c2),
aquí hemos aplicado la propiedad de las potencias con exponentes negativos.
Espero haberte ayudado.
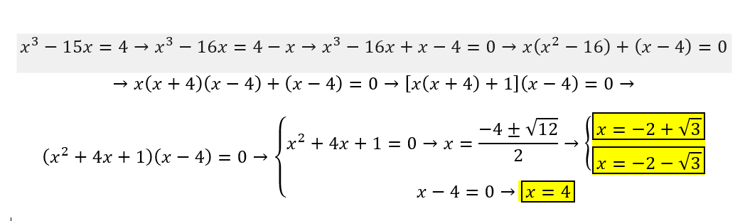
Hola, os agradecería muchísimo si me pudiéseis ayudar a resolver la ecuación x3-15x=4 mediante el método de Tartaglia, es decir, planteando dos números imaginarios y que la solución sea la diferencia entre las raíces cúbicas de ambos. Es un problema que han planteado en primero de bachillerato (clase de mi hijo), pero esto ya es una cuestión mía de amor propio.
Al llegar el momento de hallar las soluciones x2 y x3 no soy capaz de seguir, tal vez arrastre errores desde el principio, pero llevo dos días desesperada con este ejercicio.
Muchísimas gracias, un saludo.
Isabel
Hola,
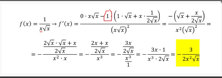
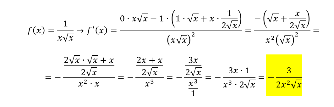
Estoy intentando resolver este ejercicio del temario pero no consigo entender bien el proceso.
Yo he intentado hacerlo de la siguiente manera, pero creo que al derivar el denominador no lo estoy haciendo bien. No lo acabo de tener claro.
Gracias de antemano.
Saludos,
[Álgebra Lineal]
hola, necesito ayuda en este problema; si alguien dispone de tiempo le agradecería la ayuda:
Si {1+x^2+x^4,x-x^4,x+x^2-x^3,1+x+x^3} genera a V:
Encuentre una Base de V.

Me acompaña una duda que quizá guarde poca relación con la pregunta original, pero por ejemplo si tengo dos conjuntos generadores(no necesariamente de la misma cardinalidad) de determinados espacios, y también ya determine una base para cada espacio. Como podría obtener una base de la intersección de los espacios de manera general (o particular -de polinomios-, en caso de no poder ser general).
Gracias:)