Hola!
Me ayudáis a plantear este problema?
Un banco nos presta el dinero al 7% para un crédito a 10 años pagadero trimestralmente. .Cuál es la cantidad máxima que podemos pedir si no queremos pagar más de 600€ trimestrales?
y si se hacen los pagos cuatrimestrales sin superar los 500€ en cada pago?

22)
a)
Asocias las raíces cuadradas, y la expresión queda:
a = √( 7:(21/5) ) = √(35/21) = √(5/3) = √(15/9) = √(15)/√(9) = √(15)/3.
b)
Expresas a la raíz cuadrada como una raíz cuarta, y la expresión queda:
b = 4√( (3/5)2 ):4√(5/3) = 4√(9/25):4√(5/3) =
asocias las raíces cuartas, y la expresión queda:
= 4√( (9/25):(5/3) ) = 4√(27/125) = 4√(135/625) = 4√((135)/4√(625) = 4√(135)/5.
c)
Expresas a la raíz cuadrada como una raíz sexta, expresas a la raíz cúbica como una raíz sexta, y la expresión queda:
c = 6√( (5/6)3 ):6√( (45/4)2 ) = 6√(125/216):6√(2025/16) =
asocias las raíces sextas, y la expresión queda:
= 6√( 2000/437400 ) = 6√( 10/2187 ) = 6√( 10 / 37 ) =
multiplicas al numerador y al denominador del argumento de la raíz sexta por 35, y queda:
= 6√( 10*35 / 312 ) = 6√(10*35)/6√(312) = 6√(2430)/32 = 6√(2430)/3.
Espero haberte ayudado.

¡Hola! Nos encantaría ayudarte, pero no solemos responder dudas
universitarias que no tengan que ver específicamente con los vídeos que David Calle
ha grabado como excepción. O de otras asignaturas que no sean Matemáticas,
Física y Química. Lo sentimos de corazón… Esperamos que lo entiendas.
Ojalá algún unicoo universitario se anime a ayudarte (de hecho, lo ideal es que todos los universitarios intentarais ayudaros los unos a los otros).
Saludos, Unicoos. ¿Podríais por favor ayudarme con el siguiente ejercicio? Le he dado algunas vueltas y no se me viene nada a la cabeza.
..
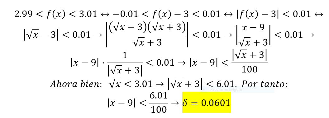
-) Sea la función f: ℛ+→ℛ tal que f(x)=√x, determine un valor δ para que 2.99<f(x)<3.01, siempre que 0<|x-9|<δ. Después de encontrar el valor de δ, realice una interpretación gráfica en el plano cartesiano.
..
*Se supone que el resultado es δ=(3+2√2)/100, pero no sé de dónde sale.

Puedes llamar x e y a las medidas de los ángulos.
Luego, tienes que las medidas de sus complementos son: (90°-x) y (90°-y).
Luego, tienes que las medidas de sus suplementos son: (180°-x) y (180°-y).
Luego, tienes que la medida del "complemento de la suma de sus complementos" es:
90° - ( (90°-x) + (90°-y ) = 90° - (180°-x-y) = 90° - 180°+x+y = x+y-90° (1).
Luego, tienes que la medida del "suplemento de la suma de sus suplementos" es:
180° - ( (180°-x) + (180°-y) ) = 180° - (360°-x-y) = 180° - 360°+x+y = x+y-180° (2).
Luego, tienes en tu enunciado que la medida de "la suma del "complemento de la suma de sus complementos" y el "suplemento de la suma de sus suplementos" es 30°", por lo que puedes plantear la ecuación ( observa que empleamos las expresiones que hemos señalada (1) (2) ):
x+y-90° + x+y-180° = 30°, reduces términos semejantes en el primer miembro, y queda:
2x + 2y - 270° = 30°, sumas 270° en ambos miembros, y queda:
2x + 2y = 300°, divides por 2 en todos los términos de esta ecuación, y queda:
x + y = 150°, divides por 2 en ambos miembros, y queda:
(x+y)/2 = 75°, que es el valor promedio de las medidas de los dos ángulos;
luego, el complemento del valor promedio de las medidas de los ángulos queda: 90°-75° = 15°;
por lo que tienes que la opción (c) es la respuesta correcta.
Espero haberte ayudado.