Buenos días, tengo dudas de cómo resolver el límite de las siguientes funciones cuando n tiende a infinito. Agradecería vuestra ayuda. Un saludo.
Buenos días. Por favor, ¿cómo resolver este ejercicio?
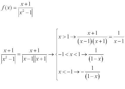
Expresar por intervalos la siguiente función con valor absoluto ![]()

Debes estudiar el signo de la función x²-1. Llamemosle g(x)
(1) Si x²-1 ≥ 0 => |x² -1| = x² -1. Es decir, para los valores en donde la función g es positiva (ó 0) el valor absoluto no cambia nada. (y se puede quitar sin mas)
(2) Si x²-1 < 0 => |x² -1| = (-1)(x² -1) = - x² + 1 = 1 -x². Es decir, para los valores donde la función g es negativa, hay que cambiarle de signo a g. (multiplicar por -1).
La función g(x): x² - 1 tiene raíces en ±1. y su signo es + | - |+. Por tanto, g(x) ≥ 0 para x ≤ 1 y para x ≥1 y g(x) < 0 para -1 < x < 1
El caso (1) se cumple entonces para x ≤ 1 y para x ≥ 1 y el caso (2) para -1 < x < 1. Y escribimos f(x) a tramos:
(x+1)/(x²-1) para x ≤ -1
f(x) = (x+1)/(1-x²) para -1 < x < 1
(x+1)/(x²-1) para x ≥ 1
Buenas noches. Disculpen, pero me gustaría saber si hay alguien que sepa de contabilidad para que me ayude con el siguiente ejercicio, y si no hay, aún así quisiera que me ayuden más o menos a entender qué es lo que exactamente me piden en él. No estoy muy segura si es que está mal formulado el ejercicio u otra cosa (la verdad, ni sé si es de contabilidad. Sólo lo deduje por la poca información que nos dan de la factura, el impuesto y el "¿usted qué haría?"), porque enserio hace rato le estoy dando vueltas y no logro saber qué es. Muchas gracias
Hola!!
pueden ayudarme con este ejercicio ?
hallar la recta tangente a la siguiente función:
f(x)= ln (26-x^2)+2x-1 en x=5
(hago la derivada para hallar m; y reemplazo x para resolver y no me da...)

(f(x))' = (ln (26-x²))' + (2x)'- (1)' = 1/(26-x²) * (-2x) + 2 - 0 = -2x/(26-x²) + 2
f'(5) = -2*5/(26-5²) + 2 = -10/-1 + 2 = -8
r(x) = -8x + b Como el punto A(5, f(5)) pertenece a la recta => f(5) = ln (26-5²)+2*5-1= ln(1) + 10 - 1 = 0 + 9 = 9 => A = (5, 9)
r(5) = -8*5 + b = 9 => b = 9 + 8*5 = 49 => r(x) = -8x + 49