Buenas tardes. ¿Alguien me podría explicar qué función tiene el operador nabla en sus aplicaciones? Por ejemplo: cuando se hace el producto vectorial con la fuerza para saber si un campo vectorial es conservativo o con el gradiente del potencial.
Muchas gracias de antemano.

Disculpa la demora. Vamos a por el.
Si algo no queda claro me avisas.
Apartado a
El techo forma una pirámide de base rectangular. Tal como lo tienes ahí dibujado, vamos a calcular el área de los triángulos marcados como a y b. Las bases ya se conocen, hay que calcular sus alturas. Creo que puede resultar lo mas difícil de todo el ejercicio.
Imagina los puntos Ma y Mb como los puntos medios de las bases de los triángulos a y b respectivamente, un punto O en el centro de la base rectangular, y el punto P en el vértice de la pirámide. Tenemos entonces con la pirámide armada, los triángulos POMa y POMb ambos rectángulos en O. Las hipotenusas PMa y PMb de estos triángulos son las alturas de los triángulos a y b. Entonces: OP = 1.5 OMa = 5 y OMb = 4.25
PMa2 = OMa2 + OP2 = 52 + 1.52 = 27.25 => PMa = √ 27.25 = 5.22. Y la superficie Sa del triangulo a es entonces: Sa = ½ * 8.5 * 5.22 = 22.19 m2
PMb2 = OMb2 + OP2 = 4.252 + 1.52 = 20.31 => PMb = √ 20.31 = 4.51. Y la superficie Sb del triangulo b es entonces: Sa = ½ * 10 * 4.51 = 22.53 m2
Y la superficie total del techo es entonces St = 2 Sa + 2 Sb = 2*22.53 + 2*22.19 = 89.44 m2 a pintar de rojo.
Apartado b (3 m de alto una casa de 2 pisos?)
La superficie total de las paredes sin considerar las ventanas es: dos paredes de 8.5m *3m y 2 de 10m *3m y la superficie lateral SL seria:
SL = 2*8.5*3 + 2*10*3 = 51 + 60 = 111 m2 . Pero a eso hay que quitarle la superficie de las ventanas (y puerta) que es:
Sv = 1*0.75*5 + 1*0.75*7 + 1*2*7 + 1*2*2 = 3.75 + 5.25 + 14 + 4 = 27 m2 . Superficie a pintar de planco es entonces Sp = SL - Sv
Sp = 111 - 27 = 84 m2 a pintar de blanco.
Apartado c
Si un galón cubre 40 m2 máximo, entonces para cubrir 89.44m2 se necesitaran 89.44/40 = 2.236. Pero supongo que los galones se venden por unidad, no se pueden comprar 2 galones y 0.236 galón. De modo que redondeando hacia arriba, se necesitaran 3 galones rojos
Y del mismo modo, para pintar 84m2 de blanco necesitaremos 84/40 = 2.1 galones, => 3 galones blancos
Apartado d
Pues si cada galón cuesta $250 y se necesitan 6 galones en total para pintar toda la casa, el costo en galones será: 6*250 = $1500
Apartado e
El volumen de la casa será el volumen de prisma rectangular Vr, mas el volumen de la pirámide rectangular Vp
Vr = L*A*E = 10* 8.5 *3 = 255 m3 y Vp = Bh/3 = 8.5*10*1.5 = 127.5 m3
Entonces el volumen total Vt es: Vt = Vr + Vp = 255 + 127.5 = 382.5 m3
Apartado f
Si para 1 m3 se necesita 600 Btu, para 382.5m2 se necesitaran: 382.5 * 600 = 229500 Btu ≅ 230 kBtu.
Hola buenas, tengo una duda sobre matrices, el profesor nos mando un ejercicio sobre calcular los rangos de distintas matrices teniendo en cuenta los distintos valores que puede tener "m", quiere que lo hagamos cpn determinantes pero hay una matriz que es 2x3 (2 filas 3 columnas) y le he estado dando vueltas y no se como se haría, me pueden ayudar? La matriz es:
2 1 -1
1 m -m
Hola, me podríais explicar el proceso para resolver este tipo de ecuaciones? gracias
23,6 x
------------- = --------------------------
37,9 x + 5,62·10^-4

Observa que tienes una proporción, por lo que aplicas la propiedad fundamental (el producto de los extremos es igual al producto de los medios), y queda:
23,6*(x + 5,62*10-4) = 37,9*x,
distribuyes en el primer miembro, y queda:
23,6x + 132,632*10-4 = 37.9x,
restas 37,9x y restas 132,632*10-4 en ambos miembros, y queda:
-14,3x= -132,632*10-4,
divides por -14,3 en ambos miembros, y queda:
x ≅ 9,27*10-4.
Espero haberte ayudado.

Te sugiero este video... Operaciones con Radicales 03 - Racionalizar
A partir de ahí, se trata de que DESPUES DE IR A CLASE (ver los vídeos
relacionados con vuestras dudas) enviéis dudas concretas, muy concretas. Y que
nos enviéis también todo aquello que hayais conseguido hacer por vosotros
mismos. Paso a paso, esté bien o mal. No solo el enunciado. De esa manera
podremos saber vuestro nivel, en que podemos ayudaros, cuales son vuestros
fallos.... Y el trabajo duro será el vuestro. Nos cuentas ¿ok? #nosvemosenclase
;-)

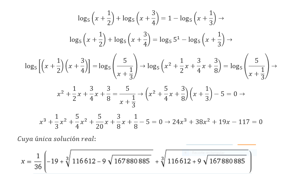
Sumas log5(x+1/3) en ambos miembros, y la ecuación logarítmica queda:
log5(x+1/2) + log5(x+3/4) + log5(x+1/3) = 1.
Aplicas la propiedad del logaritmo de un multiplicación en el primer miembro, y queda:
log5( (x+1/2)*(x+3/4)*(x+1/3) ) = 1.
Tomas antilogaritmos en base cinco en ambos miembros, y queda:
(x+1/2)*(x+3/4)*(x+1/3) = 5.
Distribuyes los dos últimos factores en el primer miembro, y queda:
(x+1/2)*(x2+(13/12)x+1/4) = 5.
Distribuyes el primer miembro, y queda:
x3+ (13/12)x2 + (1/4)x + (1/2)x2 + (13/24)x + 1/8 = 5.
Restas 5 en ambos miembros, reduces términos semejantes, y queda:
x3+ (19/12)x2 + (19/24)x - 39/8 = 0;
que es una ecuación polinómica cúbica, que puedes resolver con la Fórmula de Cardano, sobre la que tienes un vídeo aquí en Unicoos.
Espero haberte ayudado.