Buenas. Se me da la siguiente función DISCRETA:
{ 1 + n/3 , -3 <= n <= -1
x(n) = { 1 , 0 <= n <= 3
{ 0 , el resto
Primero se me pide dibujarlo (no tengo ningún problema). El problema viene en el segundo apartado:
Dibuja si:
a) Primero reflejamos x(n) y después desplazamos el resultado tres muestras a la derecha.
b) Primero desplazamos x(n) tres muestras a la derecha y después reflejamos en resultado.
Que diferencia hay? No lo entiendo.
Reflexión: Se consigue mediante un cambio de signo en la variable independiente. Gráficamente equivale a una reflexión sobre el eje vertical (t = 0 ; n = 0) Cuando se tiene la operación de reflexión acompañada de un desplazamiento se debe reflejar la señal y luego se debe desplazar. Estas operaciones no son conmutativas entre sí. Ver ejemplo.(Espero haberlo hecho correcto) | ||
| . | ||
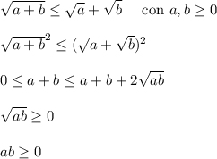
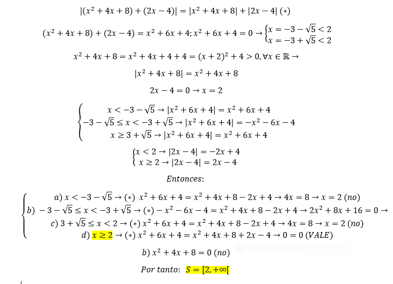
Hola amigos de unicoos, tengo una gran duda √(a+b)≤√a+√b la igualdad no vale pero me pregunto si se verifica alguna desigualdad.
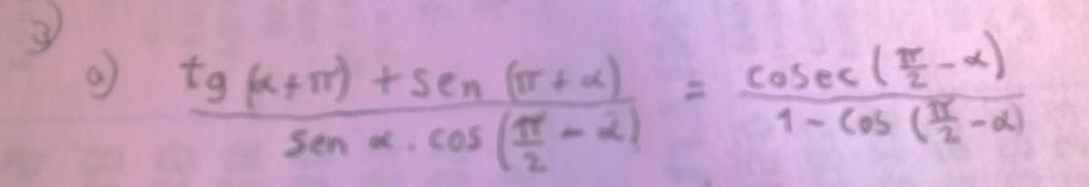
Hola tengo problemas con esta identidad, ya la intente de varias formas y no me sale... quería saber si hay alguna forma de saber si es identidad o no? y si la de este caso es identidad? por lo que a mi me dio creería que no pero todos nos podemos equivocar!

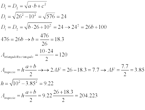
También podría darse otro caso según la ubicación inicial de los vértices... solo es cuestión de como te imagines al rectángulo y qué tan apurado le pongas sus nombres a los vértices
PD:Al principio trata de dibujar siempre las figuras eso te ayuda a imaginar, después de mucha práctica no vas a necesitar dibujar