Hola. Pregunté si había algo sobre aplicaciones y funciones, inyectivas, sobreyectivas, biyectivas, identidades, etc y operaciones con ellas. He visto la bandera roja que dice que esa pregunta era una reiteración. Pero me refería a algún vídeo explicativo de David, no he encontrado en el buscador. ¿Me podéis decir si hay algún vídeo en el que hable de esto? Gracias, saludos.
Hola tengo dudas con este problema:
Se extraen sin reposición 3 cartas de una baraja de 40 cartas: 10 espadas, 10 bastos, 10 copas, 10 oros.
¿Cuál es la probabilidad de obtener a lo sumo 1 espada?
Que significaría a lo sumo precisamente ? Tengo entendido que es "como máximo" , pero entonces cual sería la diferencia con calcular la probabilidad de obtener exactamente una carta de espadas ?
Muchas gracias por la respuesta anterior.
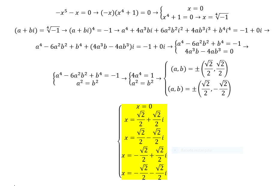
Podrian ayudarme con las raices de este polinomio
-x5-16x
Este polinomio tendria una raiz en los numeros reales y 4 en numeros complejos?

Si, tal como dices, este polinomio de grado 5 tiene cinco raíces, una real y cuatro imaginarias:
P(x) = -x5 - 16x;
luego, plantea la condición que cumplen las raíces del polinomio, y queda la ecuación:
-x*(x4 + 16) = 0, multiplicas por -1 en ambos miembros, y queda:
x*(x4 + 16) = 0;
luego, por anulación de un producto, tienes dos opciones:
a)
x = 0;
b)
x4 + 16 = 0, aquí restas 16 en ambos miembros, y queda:
x4 = -16, expresas al número real del segundo miembro en forma polar (móulo-argumento), y queda:
x4 = 16180°, extraes raíz cuarta en ambos miembros, y queda:
x = 4√(16180°), aplicas la Fórmula de De Moivre para las raíces, y queda:
x = 4√(16)(180°+360°*k)/4, con k = 0, 1, 2, 3;
luego, resuelves la expresión del módulo, distribuyes el denominador en el argumento, y queda:
x = 245°+90°*k, con k = 0, 1, 2, 3;
luego, reemplazas los valores de k, y tienes las expresiones de las cuatro raíces restantes en forma polar:
x = 245°,
x = 2135°,
x = 2225°,
x = 2315°.
Luego, tienes remarcadas las expresiones de las cinco raíces del polinomio de tu enunciado.
Espero haberte ayudado.
Podrian explicarme como se elige la "mejor" base en un logaritmo?
log(x^2)-log(x^-4)=log8
Solo deberia resolverlo utilizando las propiedades logaritmicas?

En principio puedes emplear logaritmos en cualquier base, pero para este caso observa que el término numérico es log(8), y como el argumento del logaritmo es una potencia natural de 2, sería muy conveniente elegir los logaritmos en base dos. Luego, aplicas la propiedad del logaritmo de una potencia en los dos términos del primer miembro, y la ecuación de tu enunciado queda:
2*log2(x) - (-4)*log2(x) = log2(8),
resuelves el signo en el segundo término del primer miembro, resuelves el segundo miembro, y queda:
2*log2(x) + 4*log2(x) = 3,
reduces términos semejantes en el primer miembro, y queda:
6*log2(x) = 3,
divides por 6 en ambos miembros, y queda:
log2(x) = 1/2,
tomas antilogaritmos en base dos en ambos miembros, y queda:
x = 21/2,
expresas al segundo miembro como una raíz, y queda:
x = √(2).
Espero haberte ayudado.

Observa que en los dos casos que se plantean en tu enunciado tienes que los divisores y los cocientes son de grado 1 y los restos son de grado 0, por lo que tienes que el polinomio dividendo es de grado 2, y como tienes que su término independiente es 2, puedes plantear para su expresión general:
P(x) = a*x2 + b*x + 2 (1), en la que tienes que determinar los coeficientes reales a y b.
Luego, aplicas el Teorema del Resto para la división del polinomio por (x-2), y como el resto es: -1, tienes la ecuación:
P(2) = -1, sustituyes la expresión (1) evaluada en el primer miembro, y queda:
4*a + 2*b + 2 = -1 (2).
Luego, aplicas el Teorema del Resto para la división del polinomio por (x+2), y como el resto es: 1, tienes la ecuación:
P(-2) = 1, sustituyes la expresión (1) evaluada en el primer miembro, y queda:
4*a - 2*b + 2 = 1 (3).
Luego, restas 2 en ambos miembros de las ecuaciones señaladas (2) (3), y queda el sistema:
4*a + 2*b = -3,
4*a - 2*b = -1;
luego, sumas miembro a miembro entre las ecuaciones (2) y (3) (observa que tienes cancelaciones), y queda:
8*a = -4, aquí divides por 8 en ambos miembros, y queda: a = -1/2;
luego, reemplazas el valor remarcado en las dos ecuaciones del sistema, resuelves sus primeros términos, y quedan:
-2 + 2*b = -3, aquí sumas 2 en ambos miembros, luego divides por 2 en ambos miembros, y queda: b = -1/2,
-2 - 2*b = -1, aquí sumas 2 en ambos miembros, luego divides por -2 en ambos miembros, y queda: b = -1/2;
por lo que tienes que los valores remarcados a y b forman la solución única del sistema de ecuaciones.
Luego, reemplazas los valores remarcados en la expresión del polinomio señalada (1), resuelves el coeficiente en su segundo término, y queda:
P(x) = -(1/2)*x2 - (1/2)*x + 2.
Espero haberte ayudado.
Sabiendo que B1 = {(1,2), (4,-1)} y B2 = {(1,1), (1,-1)} son dos bases de R2 y que el vector u tiene componentes (a,2) en la base b1 y componentes (-3,b) en la base B2, calcular los valores de a y b

Planteas las expresiones del vector u como combinaciones lineales de los vectores de las bases, y tienes dos ecuaciones:
a<1,2> + 2<4,-1> = u (en la base B1),
-3<1,1> + b<1,-1> = u (en la base B2);
luego, resuelves las multiplicaciones entre escalares y vectores en ambas ecuaciones, y queda:
<a,2a> + <8,-2> = u,
<-3,-3> + <b.-b> = u;
resuelves las sumas vectoriales en ambas ecuaciones, y queda:
< a+8 , 2a-2 > = u (*),
< -3+b , -3-b > = u (**),
que son dos formas equivalentes de la expresión del vector u en base canónica;
luego, igualas expresiones, y queda la ecuación vectorial:
< a+8 , 2a-2 > = < -3+b , -3-b >,
igualas componente a componente, y queda el sistema de dos ecuaciones lineales y de primer grado, con dos incógnitas:
a + 8 = -3 + b, aquí restas 8 en ambos miembros, y queda: a = -11 + b (1),
2a - 2 = -3 - b, aquí sumas 2, restas 2a y sumas b en ambos miembros, y queda: b = -1 - 2a (2);
luego, sustituyes la expresión señaladas (1) en la ecuación señalada (2), y queda:
b = -1 - 2(-11 + b), distribuyes el último término, reduces términos semejantes, y queda:
b = 21 - 2b, aquí sumas 2b en ambos miembros, y queda:
3b = 21, divides por 3 en ambos miembros, y queda:
b = 7;
luego, reemplazas el valor remarcado en la ecuación señalada (1), resuelves, y queda:
a = -4;
luego, reemplazas los valores remarcado en las expresiones del vector u en base canónica señaladas (*) (**), y en ambas queda:
< 4 , -10 > = u.
Espero haberte ayudado.