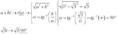
Cuando quiero calcular los grados es decir la forma polar por ejemplo raiz cuadrada de 5 i se que es b/a es decir parte imaginaria entre real pero me sale
Error pero en videos sale 90 grados igual que raiz cuadrada de 2 i tambien es 90 grados pero en la calculadora no sale
Por qué es asi
Buenas tardes, como se calcularia la matriz n-esima del siguiente problema que no consiga encontrar la relacion entre sus sucesivas potencias.

Prueba en: www.matrixcalc.org/es; yo lo he hecho, y queda:
An =
1 n n(n+1)/2
0 1 n
0 0 1.
Observa que el tercer elemento de la primera fila tienes la expresión que corresponde a la suma aritmética con primer elemento 1 y diferencia 1:
a31 = 1+2+3+ ... +n = n(n+1)/2.
Espero haberte ayudado.
Cuando quiero calcular los grados es decir la forma polar por ejemplo raiz cuadrada de 5 i se que es b/a es decir parte imaginaria entre real pero me sale
Error pero en videos sale 90 grados igual que raiz cuadrada de 2 i tambien es 90 grados pero en la calculadora no sale

Puedes verlo si haces un gráfico cartesiano:
observa que el punto representativo del número imaginario puro: z = 5i es el punto: P(0,5), que se encuentra en el semieje coordenado positivo OY.
Luego, observa que el ángulo entre el semieje positivo OX y el semieje positivo OY es un ángulo recto, por lo que tienes que el argumento del número complejo es: θ = 90°, y observa también que para este ángulo no está definida la función tangente, y que lo mismo ocurre con los números imaginarios puros cuyos puntos representativos están en el semieje coordenado negativo OY, y esta es la razón por la que no puedes obtener la medida del ángulo por medio de calculadoras.
Luego, observa que la distancia entre el origen de coordenadas y el punto P es: |OP| = 5, por lo que tienes que el módulo del número complejo queda expresado: |z| = 5.
Por último, tienes que el número complejo: z = 5i, expresado en forma polar queda: z = 590°.
Por último, y porque es muy simple visualizarlos en un gráfico cartesiano, tienes para los números complejos cuyos puntos representativos pertenecen a los ejes coordenados que sus argumentos son:
θ = 0°, para los números reales puros positivos;
θ = 180°, para los números reales puros negativos;
θ = 90°, para los números imaginarios puros con parte imaginaria positiva;
θ = 270°, para los números imaginarios puros con parte imaginaria negativa.
Espero haberte ayudado.
Considerar los vectores (2,1,3), (2,3,0) y (4,-2,1) de R3
Encontrad una base de R3 formada por los vectores (4,2,3), (0, 4, -3) y uno de la base anterior.
Yo lo que he hecho es comprobar mediante determinante si son linealmente independientes los 2 vectores con cada uno de los vectores que me dan en la primera frase y me da que tanto (2,1,3) y (4,-2,1) formarían base con los otros 2 pero no estoy seguro si es correcto.
Buenas de donde sale el 120 grados esque a mi al calcularlo me sale71 grados y no se como sacarlo quisiera ver todos los pasos de la raiz cuarta de 81
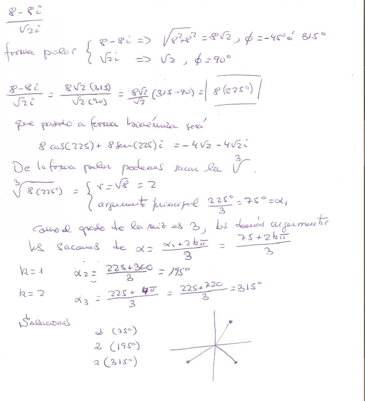
Y en el ejercicio 9 de mas abajo no se como pasa de 8-8i dividido entre raiz cuadrada de 2i y pasa a 8 multiplicando a raiz cuadrada de 2 con 315 grados y luego abajo saca 90 grados en forma polar y luego los restas ambas fracciones y sale 8 de 225 grados lo unico que me quedo claro es que raiz cuadrada de 2 se elimina por estar multiplicando el 8 que confusión,agradeceria la ayuda
¡Hola! ¿Cuál consideráis que es la mejor editorial para 2º de ESO? Quiero tener un libro bien estructurado sobre todo (y muy bien explicada la teoría).
¡Gracias!
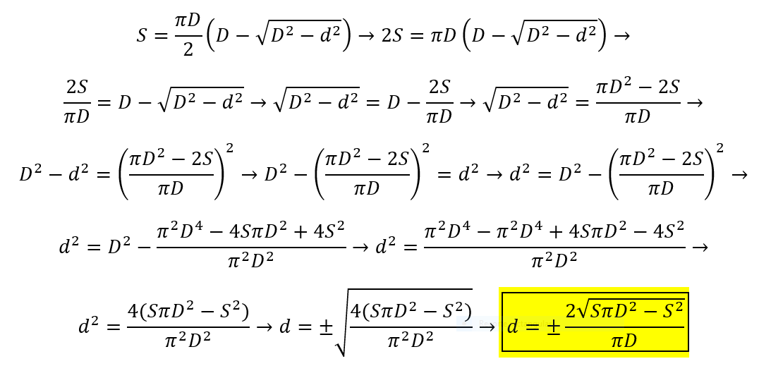
Hola,
No estoy seguro de ser capaz de aislar de manera correcta la incógnita "d" en la siguiente fórmula.
Apreciaría que se mostrara el proceso paso a paso.
Muchas gracias.
Hola. Me gustaría que me ayudaríais a realizar esta operación combinada y que me aconsejaseis si es mejor dividir la fracción o hacerlos con el mcm.
((-7)*(-4/2)) + ((12/-3)*(-4)
((-12/6) * (-2)) - (20/-10) =

Vamos con el numerador:
N = ( (-7)*(-4/2) ) + ( 12/(-3) )*(-4) =
simplificas los factores fraccionarios remarcados, y queda:
= ( (-7)*(-2) ) + ( -4 )*(-4) =
resuelves ambos términos, y queda:
= 14 + 16 = 30.
Vamos con el denominador:
D = ( (-12/6)*(-2) ) - ( 20/(-10) ) =
simplificas los factores fraccionarios remarcados, y queda:
= ( (-2)*(-2) ) - ( -2 ) =
resuelves ambos términos, y queda:
= 4 + 2 = 6.
Luego, tienes la expresión de tu enunciado:
[ ( (-7)*(-2) ) + ( -4 )*(-4) ] / [ ( (-12/6)*(-2) ) - ( 20/(-10) ) ] =
reemplazas los valores del numerador y del denominador que ya hemos calculado, y queda:
= 30 / 6 = 5.
Espero haberte ayudado.