Foro de preguntas y respuestas de Matemáticas

logo beUnicoos
Los foros de unicoos se han unificado en nuestra nueva plataforma beUnicoos. Para dejar nuevas preguntas deberás hacerlo allí, donde además podrás encontrar nuevas asignaturas y herramientas para ayudarte más con tus estudios.

  • icon

    magui
    el 11/8/18

    Hola ,tengo una duda con este ejercicio,  si yo tomó un valor por ejemplo 0 de la solución y lo reemplazo en la desigualdad original me queda 2 <-3 <4 pero no es correcto porque -3 no es mayor que 2, porque tomó ese conjunto solución?  Gracias 

    replythumb_up0 voto/sflag
    icon

    Antonius Benedictus
    el 11/8/18


    thumb_up1 voto/sflag
  • icon

    magui
    el 11/8/18

    Hola, esta bien resuelto?  Gracias 

    replythumb_up0 voto/sflag
    icon

    Antonius Benedictus
    el 11/8/18


    thumb_up1 voto/sflag
  • icon

    Dario Martin Arroyo
    el 11/8/18

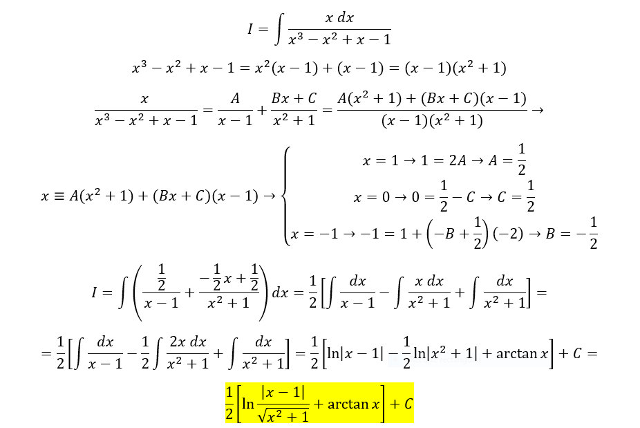
    tengo un problema con la integral de ∮(x)/(X^3-x^2+x-1)dx, me da: 1/2( ln (x-1)+ arctg(x)) +c, pero si derivo esto no me da la integral, 

    replythumb_up0 voto/sflag
    icon

    Antonius Benedictus
    el 11/8/18

    Pon foto del enunciado original, por favor.

    thumb_up1 voto/sflag
    icon

    Dario Martin Arroyo
    el 11/8/18


    thumb_up0 voto/sflag
    icon

    Antonius Benedictus
    el 12/8/18


    thumb_up0 voto/sflag
  • icon

    Paula Sánchez
    el 11/8/18

    Buenas tardes!!

    Podrían encontrar el fallo? Ya que la matriz X da distinto resultado

    Gracias!

    replythumb_up0 voto/sflag
    icon

    Antonius Benedictus
    el 11/8/18


    thumb_up0 voto/sflag
    icon

    Antonius Benedictus
    el 11/8/18

    Tienes mal la inversa:


    thumb_up0 voto/sflag
  • icon

    Rj Mitte
    el 11/8/18

    ayusa con este ejercicio porfavor y me podrian dar el link de algun video

    replythumb_up0 voto/sflag
    icon

    Antonius Benedictus
    el 11/8/18


    thumb_up0 voto/sflag
  • icon

    krom
    el 11/8/18

    ¿cómo se plantea y se resuelve este problema de matrices?


    replythumb_up0 voto/sflag
    icon

    Antonius Benedictus
    el 11/8/18


    thumb_up0 voto/sflag
  • icon

    Dario Martin Arroyo
    el 11/8/18

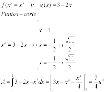
    tengo un problema con un ejercicio que no veo ninguno parecido por el libro, dice lo siguiente: calcular el área de la región comprendida entre el eje OY y las graficas de f(x)=x^3 y g(X)= 3-2x, gracias!!

     

    replythumb_up0 voto/sflag
    icon

    César
    el 11/8/18


    thumb_up1 voto/sflag
  • icon

    Paula Sánchez
    el 11/8/18

    Hola!! Me gustaría que me dijeran donde tengo mi fallo, ya que el resultado corregido ya lo tengo 

    Gracias!


    replythumb_up0 voto/sflag
    icon

    César
    el 11/8/18

    La gráfica es erronea


    thumb_up0 voto/sflag
    icon

    Paula Sánchez
    el 11/8/18

    Y lo demás de la gráfica estaría correcto?

    thumb_up0 voto/sflag
    icon

    César
    el 12/8/18

    si correcto


    thumb_up0 voto/sflag
  • icon

    Judith Magni
    el 11/8/18

    Buenas noches !!!! tengo una consulta, es referente al teorema Fundamental de la aritmética, si bien es claro que proviene de la matemática griega, no encuentro referencias a su primera formulación alguien me puede decir ¿a quien se le asigna la formulación? porque se que que una de las demostraciones le pertenece a Elucides. desde ya muchas gracias .

    replythumb_up0 voto/sflag
    icon

    César
    el 11/8/18

    Parece ser que en el libro IX de los Elementos de Euclides aparece por primera vez la factorización  de un número en factores primos.

    https://es.wikisource.org/wiki/Los_Elementos/Libro_IX



    thumb_up0 voto/sflag
  • icon

    Antonio
    el 10/8/18

    Se quiere pintar una cúpula semiesferica de un edificio de 6m de radi. Si por cada 6 m se utiliza 1 litro de pintura, cuanta cantidad de pintura será necesaria? Me lo podrias resolver gracias tengo cierto problema con este tipo de ejercicios

    replythumb_up0 voto/sflag
    icon

    César
    el 10/8/18



    thumb_up1 voto/sflag
    icon

    César
    el 10/8/18

    epa!!!!                    r2=6^2=36      Area=2 36 π        12 π litros



    thumb_up0 voto/sflag