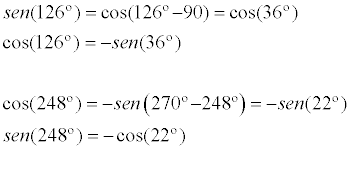
Relaciona las siguientes razones trigonometricas con las del angulo del primer cuadrante:
a) 126º b) 248º c) 350º d) -110º
Me podriais ayudar a resolverlo gracias.

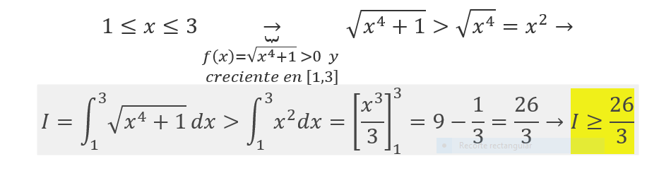
Observa que la expresión del argumento de la integral toma valores positivos en el intervalo de integración [0,π/2], y observa que la función seno toma valores pertenecientes al intervalo [0,1].
Luego, puedes plantear para el intervalo de integración:
x*senx ≤ x*1 = x.
Luego, tienes la integral de tu enunciado:
0 ≤ 0∫π/2 x*senx ≤ 0∫π/2 x*dx = [x2/2] = evalúas = π2/8 - 0 = π2/8.
Luego, a partir de la cadena de igualdades y desigualdades, tienes probado:
0 ≤ 0∫π/2 x*senx ≤ π2/8.
Espero haberte ayudado.

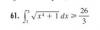
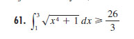
Observa que la expresión x4 + 1 toma valores mayores o iguales que 2 en el intervalo de integración [1,3], y observa que si a esta expresión le restas 1, obtienes otra expresión que es menor que ella y que tomas valores mayores o iguales que 1 en el intervalo de integración mencionado, por lo que tienes:
x4 + 1 ≥ x4 + 1 - 1 = x4;
y por la cadena de desigualdad e igualdad, tienes probado que:
x4 + 1 ≥ x4.
De aquí es que tienes el cambio de argumento (la "desaparición" del uno en la raíz) en el desarrollo del colega Antonio.
Espero haberte ayudado.
Buenas! Podríais ayudarme con este ejercicio del dosier de verano de 1° bachillerato por favor. No logro dar con la solución :(
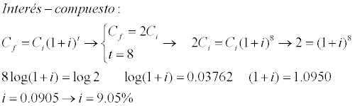
*Sí el precio de las patatas se ha duplicado en 8 años, encuentra el porcentaje constante de aumento anual respecto al anterior. [Sol.:9,051%]
Muchas gracias!
Mónica

Puedes llamar Pi al precio inicial, y puedes llamar x al número decimal que expresa el aumento anual (observa que x puede tomar valores fraccionarios, o también irracionales).
Luego, tienes:
P1 = Pi + x*Pi = Pi*(1 + x) = Pi*(1 + x) (precio al finalizar el primer año),
P2 = P1 + x*P1 = P1*(1 + x) = Pi*(1 + x)*(1 + x) = Pi*(1 + x)2 (precio al finalizar el segundo año),
P3 = P2 + x*P2 = P2*(1 + x) = Pi*(1 + x)2*(1 + x) = Pi*(1 + x)3 (precio al finalizar el segundo año),
y así sucesivamente, por lo que puedes inferir para el precio al finalizar el octavo año:
P8 = Pi*(1 + x)8.
Luego, como este precio es igual al doble del precio inicial, puedes plantear:
P8 = 2*Pi, sustituyes la expresión remarcada en el primer miembro, y queda:
Pi*(1 + x)8 = 2*Pi, divides por Pi en ambos miembros, y queda:
(1 + x)8 = 2, extraes raíz octava en ambos miembros, y queda:
1 + x = 8√(2), restas 1 en ambos miembros, y queda:
x = 8√(2) - 1;
aproximas el valor irracional del primer término con tu calculadora, y queda:
x ≅ 1,090508 - 1 ≅ 0,090508;
luego, multiplicas por cien, y la expresión porcentual del aumento anual queda:
xp ≅ 9,0508 %.
Espero haberte ayudado.
Hola unicoos me eh quedado con la duda, como es que simbolizo el "resto" en una fracción?
Del total de turistas que ingresó a una ciudad, la tercera parte son argentinos y
el resto, extranjeros. De estos, la cuarta parte provienen de Europa y el resto de
distintos países de América.
a) La fracción del total que representan los turistas europeos es ....................
b) El porcentaje de americanos no argentinos es .......................

Puedes llamar x a la cantidad de turistas argentinos, puedes llamar y a la cantidad de turistas europeos, y puedes llamar z a la cantidad de turistas americanos no argentinos, y puedes llamar T a la cantidad total de turistas.
Luego, puedes plantear las ecuaciones:
x + y + z = T (1),
x = T/3 (2) ("la tercera parte son argentinos", y observa que "el resto" queda expresado: T - T/3 = 2T/3),
y = (2T/3)/4 = T/6 (3) ("la cuarta parte del resto proviene de Europa");
luego, sustituyes las expresiones señaladas (2) (3) en la ecuación señalada (1), y queda:
T/3 + T/6 + z = T, resuelves la suma de los dos primeros términos, y queda:
T/2 + z = T, restas T/2 en ambos miembros, y queda:
z = T - T/2 = T/2 (4), que es la expresión de la cantidad de turistas americanos que no son argentinos.
a)
fy = y/T = (T/6)/T = 1/6, que es la fracción de turistas europeos con respecto al total;
b)
fz = z/T = (T/2)/T = 1/2, que es la fracción de turistas americanos no argentinos con respecto al total.
Espero haberte ayudado.