hola buenas.
el ejercico es sobre vectores:
enunciado: "Dadas dos fuerzas F1(5,8) Y F2(-1,3) determinar haciendo uso de calculo vectorial la componente de la resultante en la direccion (proyeccion ) de la recta x+y=1."
las fuerzas son vectores entonces he supuesto que parten del origen de coordenadas para hacer el ejercicio y despues he hallado la proyeccion de cada una de las fuerzas respecto a la recta , no se si es eso lo que hay que hacer pero no se me ocurre otra cosa.
Buenas tardes, me ayudarían con el 12 o 13 por favor, no se como se hacen y no encuentro ejercicios explicados de ese tema, muchas gracias a quien pueda ayudarme.
Caramba con el bachiller.
¡Hola! Nos encantaría ayudarte, pero no solemos responder dudas universitarias que no tengan que ver específicamente con los vídeos que David Calle ha grabado como excepción. O de otras asignaturas que no sean Matemáticas, Física y Química. Lo sentimos de corazón… Esperamos que lo entiendas.
Ojalá algún unicoo universitario se anime a ayudarte (de hecho, lo ideal es que todos los universitarios intentarais ayudaros los unos a los otros).
Hola muy buenos días!!!!!
Podrías ayudarme con el siguiente ejercicio?
Dado el conjunto A=[-6,5]∪(-2,0)∪{2}∪(3, +∞)
Obtener justificando
Desde ya muchas gracias !!!!
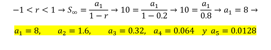
Hola! Alguien me puede ayudar con el siguiente problema?
La suma de todos los términos de una progresión geométrica de 10 y la razón es r=0,2. Encuentra el valor de los 5 primeros términos.
No se cómo empezarlo. Muchas gracias!
BUENOS DíAS DAVID?
Mi pregunta es la siguiente:
Tengo terminados 3 ciclos formativos de fp, DAM , DAW Y ASIR, todos de informática,
y mi siguiente paso es empezar la carrera de ingeniería informática, mi problema es que no me acuerdo de nada,
¿siguiendo tu curso online, podría prepararme para el cálculo y la física de primero?
muchas gracias.

Que no te den miedo las mates, repasándote las cosas de bachillerato no andarás mucho más perdido que los que vienen con el bachiller reciente. En mi primer año había bastante gente que venía de ciclos y algunos de ellos aprobaron las asignaturas de mates con mejor nota que la de los que venían de bachillerato gracias a que se preocuparon de repasar a fondo la materia. ¡Ánimo y suerte! :D