Ayuda, gracias. Ejercicio: Indica cómo se prepara una disolución que contenga 20g/l de azúcar en agua:
a)Pesando 10 gramos de azúcar y disolviéndola hasta obtener 0,5 litros de disolución
b)Pesando 20 gramos de azúcar y añadiendo 1000 cc de agua
c) Pesando 40 gramos de azúcar y disolviéndola en 2 litros de agua.

La correcta es la a) ya que 20g/l indica 20 g de soluto por litro de disolución (no por litro de agua)

Hola Ignacio,
la pregunta 1 sí la tienes bien.
Sin embargo, no llego a ver exactamente qué te piden en la 2. ni en el resto. Es decir, se lee, pero faltan datos.
A parte, también te comento que en unicoos no resolvemos vuestros ejercicios, se trata de que los hagáis por vosotros mismos, y si os surgen dudas concretas sobre algo entonces nosotros os ayudaremos.
Un saludo,
Breaking Vlad
No sé hacer el procedimiento de este ejercicio: Si el calor específico del níquel es 0,1146cal/g*ºC, ¿cuánto calor hace falta para aumentar la temperatura de 168 g de níquel de -18,6 a 57.2ºC? Re: 1.46kcal

Te sugiero este video..
Equilibrio térmico 03
A partir de ahí, se trata de que DESPUES DE IR
A CLASE (ver los vídeos relacionados con vuestras dudas) enviéis dudas
concretas, muy concretas. Y que nos enviéis también todo aquello que hayais
conseguido hacer por vosotros mismos. Paso a paso, esté bien o mal. No solo el
enunciado. De esa manera podremos saber vuestro nivel, en que podemos ayudaros,
cuales son vuestros fallos.... Y el trabajo duro será el vuestro. Nos cuentas
¿ok? #nosvemosenclase ;-)

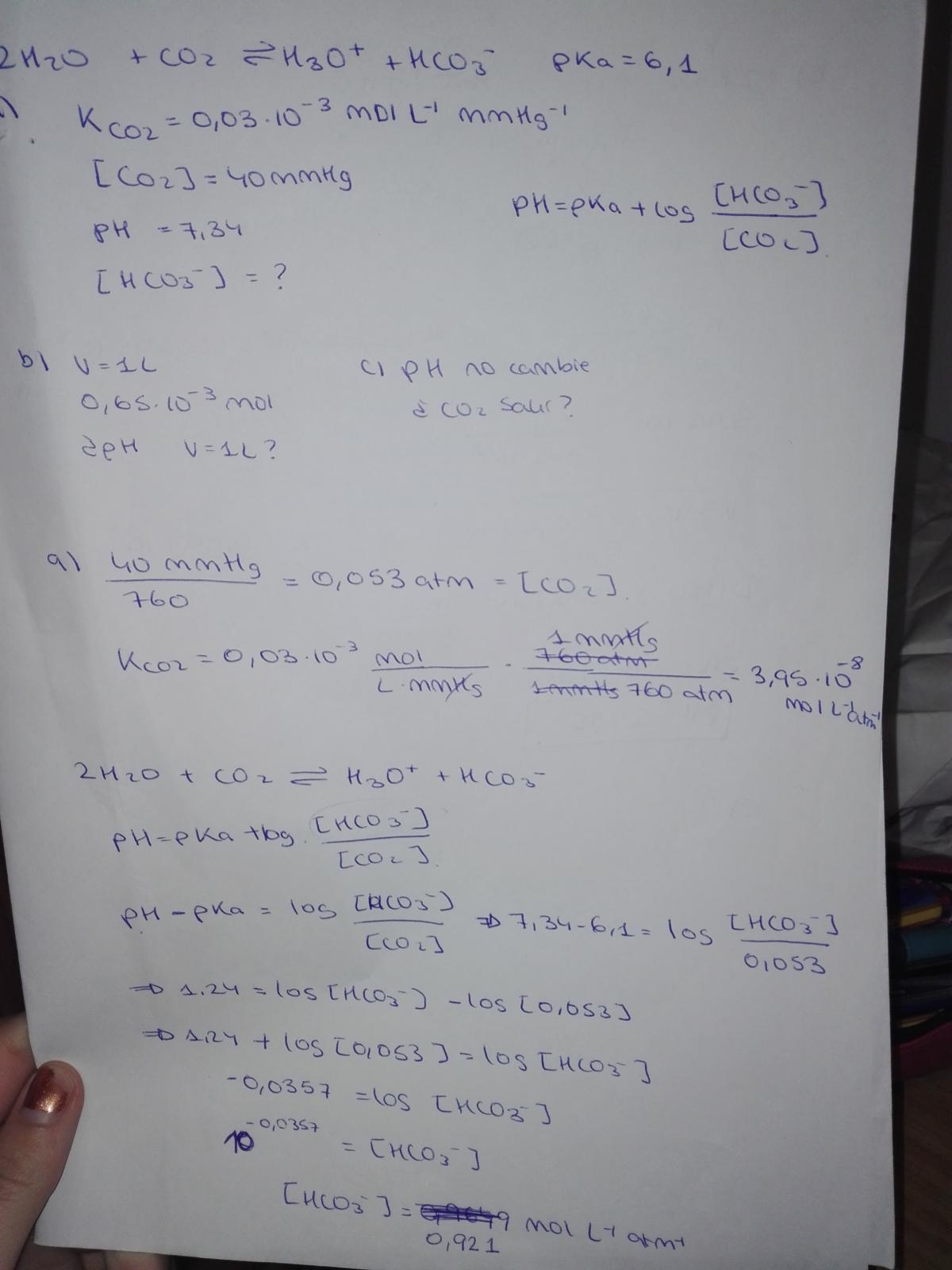
Hola María,
en el apartado a) el valor de 0,053 no es la concentración de CO2. es la presión en atmósferas. Has de aplicar la ley de Henry para calcular la concentración a partir de la presión.
Una vez tengas el valor correcto, el resto del ejercicio está bien.
el apartado b) está bien, lo único que te pide cuanto VARIARIA es decir, tienes que restar el del apartado a) y ese.
en el apartado c) te pasan dos cosas. 1. te pide el CO2 que SALE del sistema, debes restar el que había antes, y el que habrá después, para saber cuanto sale. y 2. la concentración es en mol·L-1, no mol·L-1·atm-1
Un saludo,
Breaking Vlad
Podríais ayudarme con este ejercicio: Busca un problema relacionado con el cálculo de la longitud de onda en movimiento (dualidad onda-partícula), que esté relacionado con la vida real o alguna aplicación en la misma. Gracias!!

Se trata de que DESPUES DE IR A CLASE (ver los vídeos relacionados con
vuestras dudas) enviéis dudas concretas, muy concretas. Y que nos enviéis
también todo aquello que hayais conseguido hacer por vosotros mismos. Paso a
paso, esté bien o mal. No solo el enunciado. De esa manera podremos saber
vuestro nivel, en que podemos ayudaros, cuales son vuestros fallos.... Y el
trabajo duro será el vuestro. Nos cuentas ¿ok? #nosvemosenclase ;-)
podria alguien ayudarme con este ejercicio.
Busca un problema y resuélvelo relacionado con el cálculo de la energía de una transición
electrónica, (línea en el espectro), que esté relacionado con la vida real o alguna aplicación en la
misma.

Primero aplicas la ley de Hess para calcular la entalpía de la reacción ΔHºreacción =ΔHpº-ΔHrº=-152-94+289=43 Kcal/mol
1x10^6g de caliza x 80g CaCO3/100g de caliza x 1mol CaCO3/100g x 100/75 x43 Kcal/1mol =458666 Kcal