
Hola María,
a priori el primer apartado lo tienes bien.
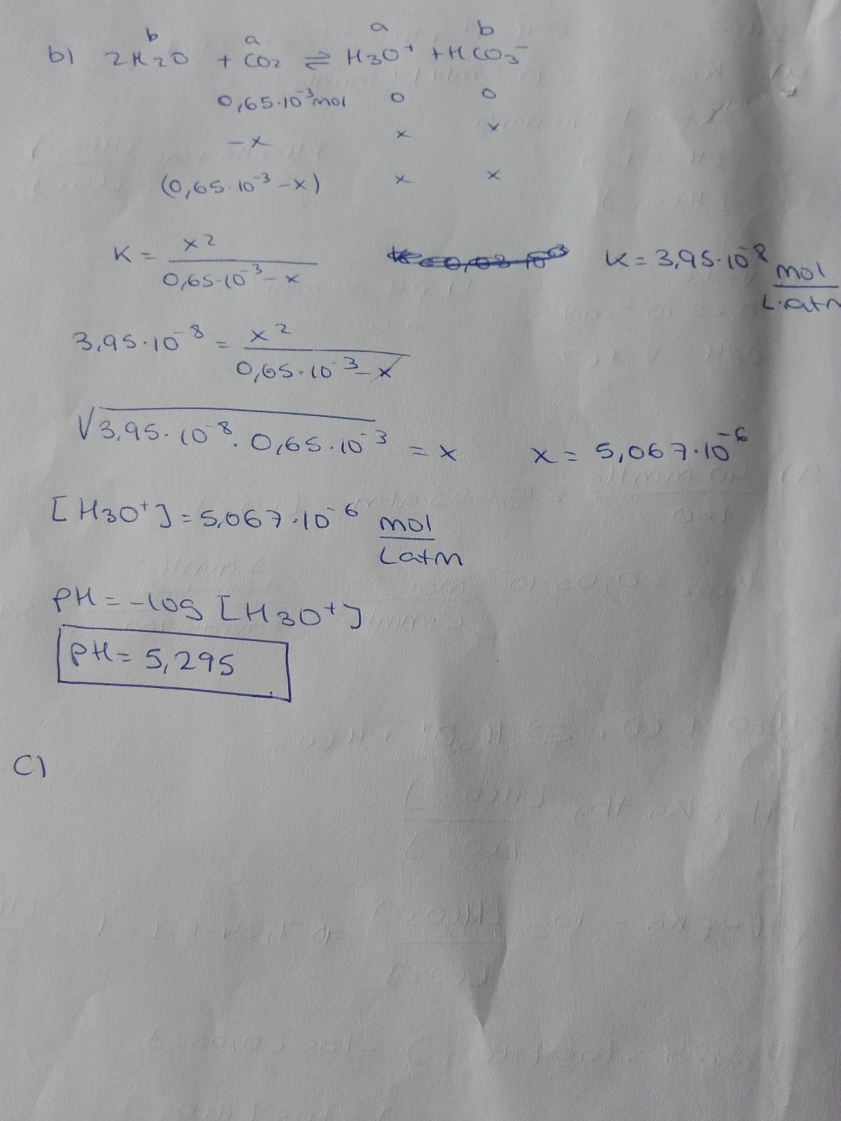
En el segundo, te preguntan el pH suponiendo que el acido sea fuerte, y añadido sobre agua destilada. lo único que debes hacer es el -log (0,65·10-3)
En el tercer apartado debes usar la misma fórmula que en el primer apartado, donde el pH sería el del buffer, y la [H+] pues 0,65·10-3
la incógnita sería [CO2] que la despejas y ya está.
Un saludo,
Breaking Vlad

Precipitará antes el que necesite menor concentración de Ag+, llamamos x a la concentración de los iones (que es la misma para los tres)
Para el AgCl [Ag]+ =1,7 x10-10/X
Para el AgI [Ag]+ = 1,5 x10-16/x
Para el Ag2CrO4 [Ag+]= √1,9 x10-12/x
SE observa que el orden de precipitación será AgI, AgCl, Ag2CrO4

Tienes el mismo fallo que en el otro ejercicio, debes calcular la nueva concentración de los dos iones, y ambos están en un volumen total (considerando volúmenes aditivos) de 0,48 litros.
[Ag+]^2 [CO3-2]=(0,5/0,48)^2 (0,8/0,48)=1,8
Mucho mayor que Kps (bien calculada) por lo que habrá precipitado