Una duda, supongamos que tengo NO y tiene 2 moles y de masa es 60g de NO, ahora bien yo tengo que buscar los gramos de Oxigeno, entonces la masa molecular de NO es 14N+16O=30 g/mol
¿la de oxigeno es 16g/mol o 32g/mol? para así poder calcular la cantidad de gramos de oxigeno que hay en el NO. Lo pregunto porque el Oxigeno es diatómico, y el compuesto NO ni el nitrogeno ni el oxigeno no representa el simbolo al que hace que estos 2 gases sean diatomicos
Hola, necesito ayuda con este ejercicio. he hecho el apartado a y me ha salido esto: 1s^2 2s^2 2p^1 ( nose si está bien). El apartado c creo que es 5, pero los demás apartados no se hacerlos. Me gustaría saber si lo que he hecho esta bien y que me ayudéis en lo demás, gracias de antemano![]()

La configuración electronica de tu ión es coorrecta... Dado que se refiere a un ion tripositivo, el elemento original del que procede es un elemento con 3 electrones menos (si es tripositivo es porque ha perdido 3 electrones). Por tanto su configuracion electronica será 1S²2S²2P^4
Su numero atomico será por tanto z=8 y el ion no es estable (por ser p1)..
No sé resolver este problema:
Determina la fórmula empírica de un compuesto gaseoso formado únicamente por boro y flúor sabiendo que en su composición contiene un 22,1 % de boro. b) Si 0,0866 g de este gas, medidos en condiciones normales de presión y temperatura, ocupan un volumen de 19,88 mL, ¿cuál será su fórmula molecular? c) Dibuja la estructura de Lewis para esta molécula.
Gracias por la ayuda!

Hola María, te recomiendo ver el vídeo:
Fórmula empírica y composición centesimalSeguro que después de verlo resuelves el problema, sino, nos vuelves a comentar y te echamos una mano en las dudas.
Saludos.
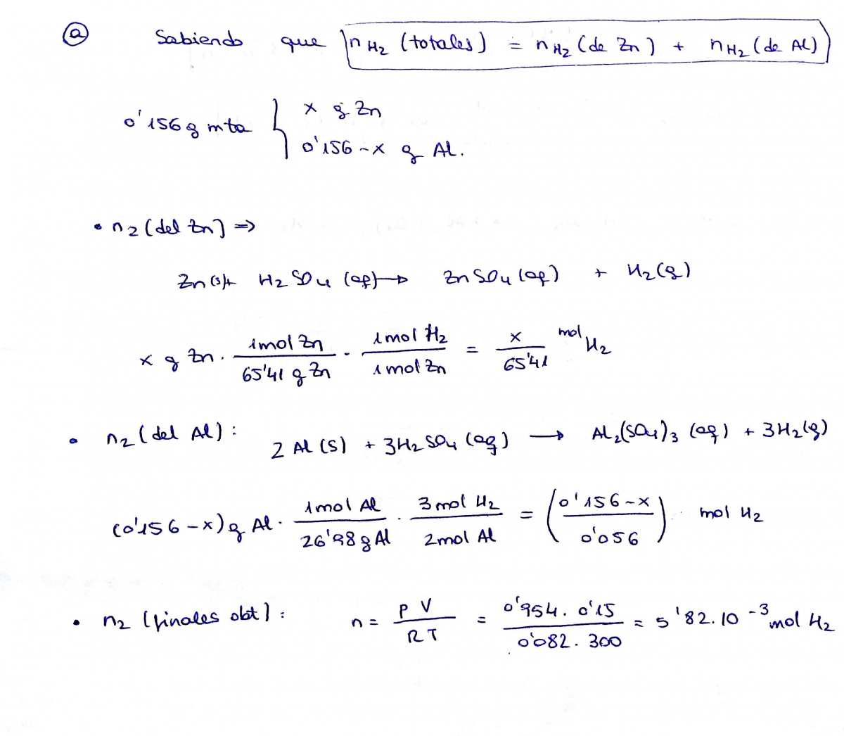
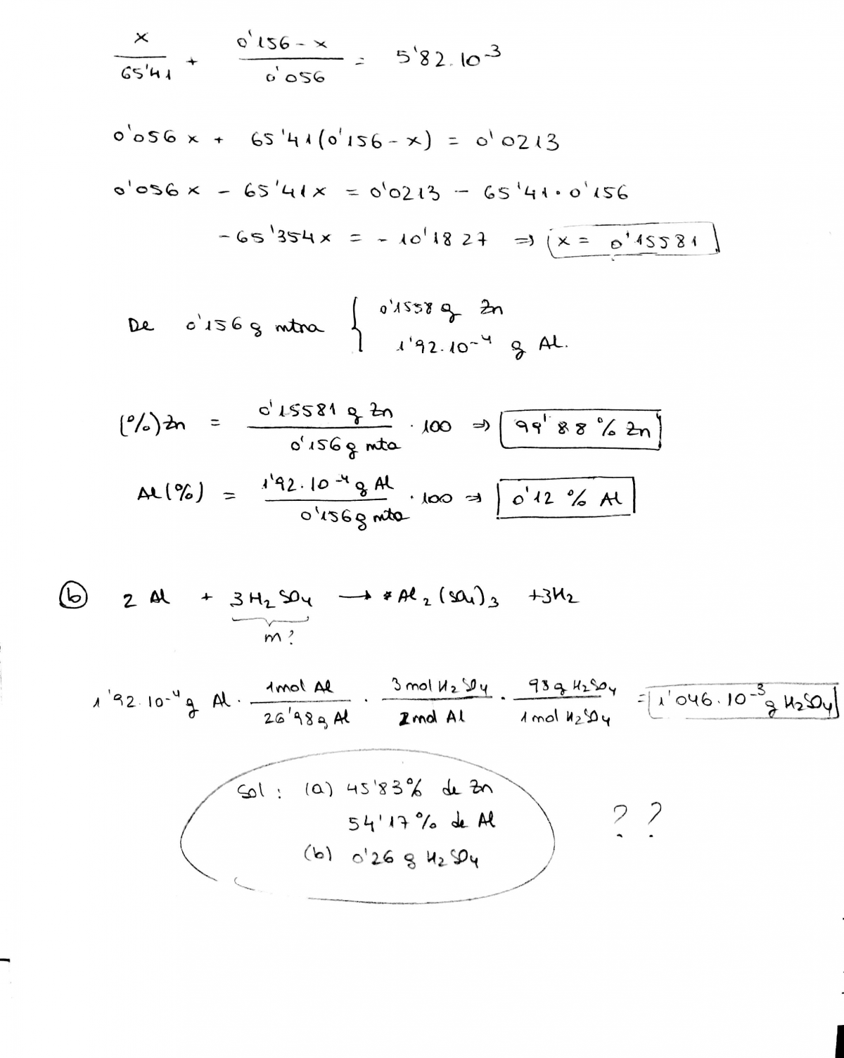
Hola!! TEnía una duda con un problema de estequiometría, lo he resuelto peor el resultado no me sale bien.
El enunciado es este:
Se tienen 0,156 g de una muestra de una aleación de cinc y aluminio. El tratamiento de la misma con ácido sulfúrico, H2SO4, conduce a la formación de los correspondientes sulfatos metálicos y 150 mL de gas hidrógeno medidos a 27 ºC y 725 mm Hg. a) Calcula la composición de la aleación de partida. b) Calcula la masa de ácido sulfúrico necesaria para reaccionar con el aluminio contenido en la muestra.
El resultado:
Gracias

Debes plantear dos reacciones, las correspondientes a la formación de cada sulfuro metalico a partir del aluminio y el cinc presentes en la muestra...
Zn + H2SO4 = ZnSO4 + H2...
Suponiendo x gramos de Zn, tendremos x/65,38 moles de Zn, de donde obtendremos estequiometricamente x/65,38 moles de H2...
2Al + 3H2SO4 = Al2(SO4)3 + 3H2...
Suponiendo y gramos de Al, tendremos y/27 moles de Al, de donde obtendremos estequiometricamente (y/27 ).(3 moles H2/ 2 moles Al) =3y/54 = y/18 moles de H2...
Los moles totales de hidrogeno, a partir de P.V=n.R.T serán (725/760 atm).0,150 litros=n.0,082.300K...
Como n=y/18+ x/65,38....
Y también x+y=0,156, podrás resolver el sistema de ecuaciones, siendo x e y los gramos de aluminio y cinc presentes en la muestra. con esos datos podrás halllar la composición centesimal de cada uno de ellos (100.x/0,156; 100.y/0,156). Espero te ayude...
Hola necesito ayuda ccn te ejercicio no se conoconocmenzar o que formula de los gases aplicar ayudemen tengo prueba

Hola Genesis, lo primero que he hecho es calcular a diferencia de moles totales en el recipiente, antes y después de introducir el N2, a través de la ecuación general de los gases.
La diferencia de moles es igual a los moles de nitrógeno introducidos, que multiplicados por su masa molecular nos da la masa, que me da un poco menos que en tu respuesta, 0,57g.
Esa masa se la resto a la masa final que nos quedaba después de haber quitado todo el oxígeno, y hallamos la masa de cloro: 4,1184 - 0,57= 3,55g de Cl2. Ahora con esa masa de cloro puedo calcular su presión parcial al inicio, pasando esa masa a moles de cloro y usando la ecuación general de los gases: me queda una presión parcial de 0,615 atm. Para hallar la presión parcial del O2 solo hay que restar la presión total a la presión parcial del cloro, porque la presión total es la suma de las presiones parciales, de modo que la presión parcial del O2 es de 0,385 atm.
Por último, para calcular sus fracciones molares usaremos la fórmula de la presión parcial: Pp=Ptotal · X ;y como tenemos las presiones parciales y la total al inicio, solo hay que sustituir. Después multiplicamos el resultado por 100 para obtener tanto por ciento de fracción molar:
PCl2 es 0,615 = 1 · XCl2 , esto nos da una XCl2 = 0,615 x 100 = 61,5% de Cl2
PO2 es 0,385 = 1 · XO2 , esto nos da una XO2 = 0,385 x 100 = 38,5% de O2
Las variaciones, bien se pueden redondear y ajustarlas al resultado, o bien se pueden aceptar así, depende del número de decimales con los que operes.
Te dejo una foto con los cálculos, si tienes alguna duda me cuentas.
Saludos.
Hola a todos, tenía una duda en un ejercicio, el apartado b no me da el resultado....
Se hacen reaccionar 200 g de mineral de piedra caliza, que contiene un 60 % de carbonato de calcio, con ácido clorhídrico suficiente para que reaccione todo el carbonato de calcio. El proceso transcurre a 17 ºC y 740 mm Hg de presión. En dicho proceso se forma dióxido de carbono, cloruro de calcio y agua. a) Escribe la reacción ajustada. b) Calcula la masa de cloruro de calcio que se obtiene. c) Calcula el volumen de dióxido de carbono producido en las condiciones de la reacción.
Espero que alguien pueda ayudarme. gracias
En este ejercicio no entiendo la explicacion de como encontrar los 33 g de H2SO4, a partir de la densidad como se puede hallar los gramos de un compuesto?
http://www.alonsoformula.com/inorganica/_private/PROBLEMA333.pdf