Me podrían ayudar con este problema, no sé como resolverlo.
En un recipiente de 3 L se introducen 60 g de NO y 69 g de NO2 a 28ºC.
-Calcula la presión que soportan las paredes del recipiente en las condiciones anteriores.

Pasa los gramos de cada una de las sustancias a moles.. Despues halla la presión total.. P.V=n.R.T siendo "n" los moles totales...
Te sugiero.. Gases ideales PV=nRT E incluso Presion parcial de un gas
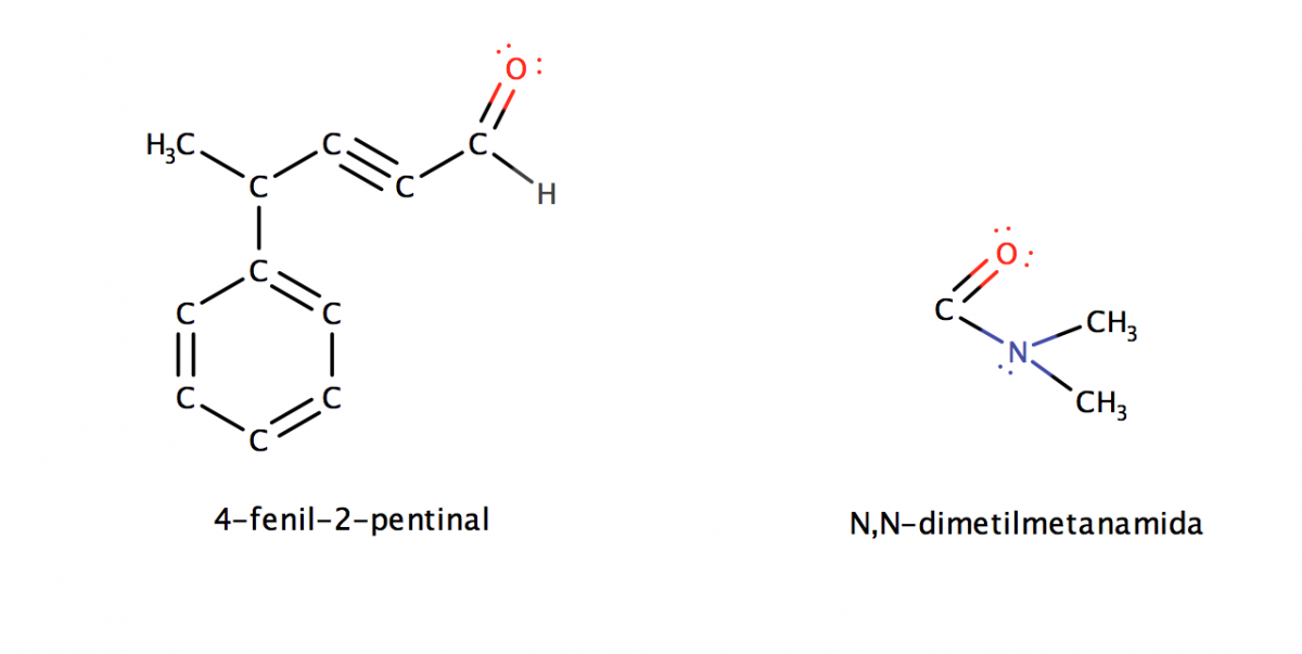
Me pueden decir como es esta formula? 4-Fenil-2-pentinal y N,N-dimetilmetanamida
Yo la he hecho así pero no se si estará bien
El primer compuesto está mal, ya que fenil es un radical alquilo, es decir, el grupo fenil (R-C6H5) tiene que estar fuera de la cadena. El segundo compuesto está bien formulado. Por experiencia, te recomiendo empezar a formular y a numerar de izquierda a derecha, no de derecha a izquierda. ¡¡Espero haberte ayudado!!
Hola tengo que resolver este ejercicios y no lo entiendo.
2. En el laboratorio le piden que prepare 500 mL de un buffer HAc/NaAc a pH=5. Describa brevemente como la haría partiendo de NaCH3COO.3H2O (s) y HAc 1M.
Alguien me puede ayudar ?. Gracias

Echales un vistazo y nos cuentas ¿ok?...
Disoluciones reguladoras
A partir de ahí, se trata de que DESPUES DE IR A CLASE (ver los vídeos
relacionados con vuestras dudas) enviéis dudas concretas, muy concretas. Y que
nos enviéis también todo aquello que hayais conseguido hacer por vosotros
mismos. Paso a paso, esté bien o mal. No solo el enunciado. De esa manera
podremos saber vuestro nivel, en que podemos ayudaros, cuales son vuestros
fallos.... Y el trabajo duro será el vuestro. #nosvemosenclase Nos cuentas ¿ok?
Buenaas,
estoy haciendo formulación inorgánica y no sé como formular un hidrácido. ¿Que pasos debo seguir para formular el ácido sulfhídrico? ¿Como sé que valencia usa el sofre?
Gracias por adelantado.
Hola, el ácido sulfhídrico es sulfuro de hidrógeno en disolución acuosa. Siguiendo las reglas de formulación, todos los -uros de hidrógeno son así: HaX, siendo a el número de oxidación del elemento X. Según esta regla, el ácido sulfhídrico es H2S (aq), compuesto que no hay que confundir jamás con el ácido sulfúrico, H2SO4 (aq). Nótese que cuando se trata de un ácido hay que determinar que el gas está en disolución acuosa (aq)

Hola Caterina, te recomiendo que veas:
Ácidos polihidratados y Oxisalesy en general el resto de vídeos de formulación inorgánica que nunca viene mal.
En el ácido sulfhídrico el azufre (o sofre en català) H2S está actuando con nº de oxidación -2, ya que el hidrógeno solo usa su valencia negativa en los hidruros, esto es un sulfuro de hidrógeno, que en disolución acuosa se nombra como ácido sulfhídrico.
Saludos.
Hola perdona en formulación inorgánica cuando se podría poner el prefijo "mono" en la nomenclatura sistemática?

¡Hola, Andrea! En nomenclatura sistemática, como sabrás, se utilizan los prefijos como indicativo de la atomicidad de cada elemento en un compuesto. En concreto, el prefijo mono se emplea para hacer referencia a los elementos que, en un compuesto determinado, están presentes con un sólo átomo. Por ejemplo:
CO -> Monóxido de carbono
H2O -> Monóxido de dihidrógeno
Una consulta, para ejercicios así.
Determine el cambio de calor que se produce al calentar 150 mL de una sustancia X (d=0.789 g/mL) desde -50 °C hasta su completa evaporación . ∆Hfus = 4.80 kJ/mol y ∆Hvap = 38.6 kJ/mol. Punto de fusión =240 K, Punto de ebullición = 78°C, Temperatura crítica=514 K. calores específicos X(l) =2.44 J/gK, X(g) =1.66 J/gK , X(s) =2.06 J/gK
Cuál sería el tema para buscar vídeos?

Echale un ojo a estos vídeos y nos cuentas.... Equilibrio térmico
A partir de ahí, se trata de que DESPUES DE IR A CLASE (ver los vídeos
relacionados con vuestras dudas) enviéis dudas concretas, muy concretas. Y que
nos enviéis también todo aquello que hayais conseguido hacer por vosotros
mismos. Paso a paso, esté bien o mal. No solo el enunciado. De esa manera
podremos saber vuestro nivel, en que podemos ayudaros, cuales son vuestros
fallos.... Y el trabajo duro será el vuestro. #nosvemosenclase Nos cuentas ¿ok?

Con enlace deslocalizado (es lo que tu denominas como enlace conjugado) me refiero que los electrones no están en una posición fija de la molécula , sino que pueden moverse por una zona determinada . En el benceno , por ejemplo , los electrones se mueve alrededor de el ciclo y todos sus enlaces tienen carácter parcial de doble enlace (aunque también tienen parte de simple ) . En la molécula q pones , sólo una zona de encuentra con situación de enlace deslocalizado , el resto no , por eso decimos que incumple una de las reglas de huckel y que por tanto no es un compuesto aromático .
Hola alguien me puede decir como balanceo esta ecuacion por el metodo algebraico? no puedo sacar el valor de las letras C, D Y G

Por el método algebraico es practicamente imposible de resolver sin volverse loco porque te queda un sistema de ecuaciones muy complejo... Se hace por este metodo..
Ajustar una reacción en medio acido - Ion-electron