¡UPS! Para ver vídeos en la web debes estar registrado, es totalmente gratuito.

Recuerda además que sólo por ser unicoo, GRATIS, podrás dejar tus dudas en los foros de beUnicoos, acumularás energy y help points y ganarás decenas de medallas. Registrarte solo te llevará unos segundos. Nosotros somos unicoos ¿y tú? #nosvemosenclase

Distancia entre dos rectas paralelas en R²

Correspondiente a 4º de ESO, del tema de GEOMETRÍA en el PLANO (rectas y vectores en 2D), averiguaremos la DISTANCIA entre dos RECTAS PARALELAS, conocidas las ecuaciones de ambas r: Ax+By+C=0 y s: A'x+B'y+C'=0. Para resolverlo utilizaremos dos métodos distintos. en primer lugar, hallaremos un punto cualquiera de una de las rectas, para, después, hallar la distancia de ese punto a la otra recta. También recurriremos a la formula d(r,s)= |C-C'| / √(A²+B²) en el caso en el que A=A'y B=B'

Agregar a mi mochila
0/ 364

* Para utilizar tu mochila o guardar tu progreso y acumular energy points debes ser usuario registrado. Regístrate o inicia sesión

Foro de preguntas y respuestas

logo beUnicoos
Los foros de unicoos se han unificado en nuestra nueva plataforma beUnicoos. Para dejar nuevas preguntas deberás hacerlo allí, donde además podrás encontrar nuevas asignaturas y herramientas para ayudarte más con tus estudios.
  • icon

    Elene Altzuguren Arregui
    el 16/2/18

    Hola! Tengo problemas con este ejercicio: calcula la ecuación de la recta teniendo en cuenta que, pasa por el punto (-1,5) y que tiene una distancia de dos unidades al punto (1,1). ¿Como puedo resolverlo?

    Gracias. 

    replythumb_up0 voto/sflag
    icon

    Antonius Benedictus
    el 16/2/18


    thumb_up2 voto/sflag
  • icon

    marcos
    el 21/1/18
    flag

    Considera la recta de ecuacion y= -7x + 5. Encuentra las coordenadas del punto de interseccion de esta recta perpendicular a ella que pasa por ( -7 , 5 )

    replythumb_up0 voto/sflag
    icon

    David
    el 1/2/18

    Para dudas que no tienen que ver explicitamente con lo que hago en un vídeo, lo ideal es que uséis el FORO GENERAL de matemáticas, física o química



    thumb_up1 voto/sflag
  • icon

    marcos
    el 18/1/18

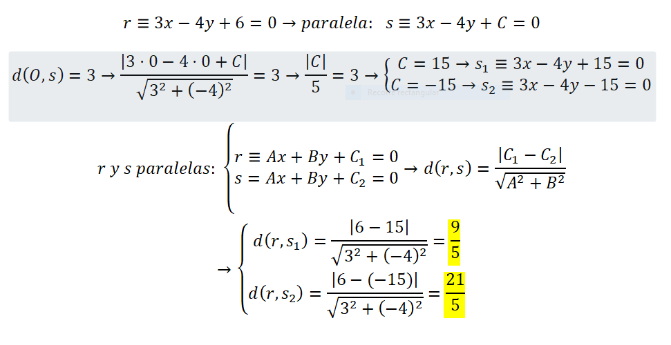
    calcular la distancia entre la recta r: 3x - 4y + 6 = 0  y una paralela a ella que dista tres unidades del origen de coordenadas ( dos soluciones ).


    replythumb_up0 voto/sflag
    icon

    Antonius Benedictus
    el 18/1/18


    thumb_up0 voto/sflag
  • icon

    Andrea hdz
    el 17/8/17

    en este apartado no hay material adicional?

    replythumb_up0 voto/sflag
    icon

    David
    el 17/8/17

    En este no, lo siento...

    thumb_up0 voto/sflag
  • icon

    Marivi Rodríguez López
    el 11/3/17

    Buenos días. Me gustaría preguntar una duda acerca de cómo calcular la distancia entre dos rectas partiendo de este ejercicio.:

    x-3=0

    x+2=0

    Gracias

    replythumb_up0 voto/sflag
    icon

    Antonius Benedictus
    el 11/3/17

    Son dos rectas verticales, que están a 5 unidades dedistancia.

    thumb_up0 voto/sflag
  • icon

    Alfredo
    el 11/3/17

    Buenas como puedo sacar el punto de la recta r 2x-y=1 que equidiste del punto A=(-2,-3)  y el punto B=(0,-1)

    Gracias.

    replythumb_up0 voto/sflag
    icon

    Antonius Benedictus
    el 11/3/17


    thumb_up0 voto/sflag
  • icon

    Jessica
    el 26/1/17

    David una preguntita que no viene a cuento. Para hallar el angulo que forman dos rectas y la distancia de P a una de las rectas (r) ¿Que video tendría que ver? No lo encuentro... :(

    replythumb_up0 voto/sflag
    icon

    Antonius Benedictus
    el 26/1/17


    thumb_up1 voto/sflag
  • icon

    Marcela
    el 12/7/16

    David, mi corazón... en R3???? utilizo el mismo sistema?

    replythumb_up1 voto/sflag
    icon

    David
    el 13/7/16

  • icon

    amaia
    el 9/2/16

    ¿Donde puedo encontrar ejercicios con soluciones para practicas?

    replythumb_up2 voto/sflag
    icon

    David
    el 11/2/16

    En el material adicional de cada vídeo (esquina inferior izquierda del reproductor) suele haber teoría y ejercicios

    thumb_up1 voto/sflag
  • icon

    Juana
    el 18/1/16
    flag

    al multiplicar por 3 la recta,,,,la recta no se modifica en absoluto?? gracias david

    replythumb_up1 voto/sflag