¡UPS! Para ver vídeos en la web debes estar registrado, es totalmente gratuito.

Recuerda además que sólo por ser unicoo, GRATIS, podrás dejar tus dudas en los foros de beUnicoos, acumularás energy y help points y ganarás decenas de medallas. Registrarte solo te llevará unos segundos. Nosotros somos unicoos ¿y tú? #nosvemosenclase

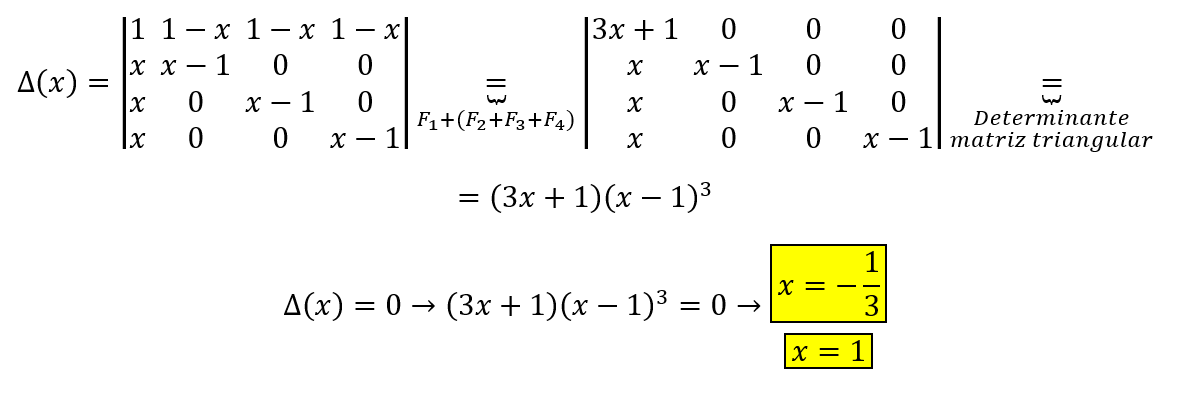
Propiedades de los Determinantes 03

Correspondiente a 2º BACHILLERATO, y aplicando algunas propiedades de los DETERMINANTES, resolveremos una ecuación con un determinante 4x4, sin desarrollarlo (regla de SARRUS)...
En concreto...
|1 x x x|
|x 1 x x|
|x x 1 x| = 0
|x x x 1|

Agregar a mi mochila
0/ 664

* Para utilizar tu mochila o guardar tu progreso y acumular energy points debes ser usuario registrado. Regístrate o inicia sesión

Material adicional

* Los materiales marcados con el símbolo de la estrella () sólo serán accesibles para usuarios PRO. Conviértete en PRO

Foro de preguntas y respuestas

logo beUnicoos
Los foros de unicoos se han unificado en nuestra nueva plataforma beUnicoos. Para dejar nuevas preguntas deberás hacerlo allí, donde además podrás encontrar nuevas asignaturas y herramientas para ayudarte más con tus estudios.
  • icon

    Smith San Martin
    el 28/5/19

    Hola, en vez de sumar las columnas, he restado las filas, quedándome esto:

    |1 1-x  1-x  1-x|                       solo me sale (x-1)3 , que mas tendria que hacer??
    |x   x-1  0      0 |
    |x    0    x-1   0 | = 0
    |x    0      0  x-1|

    replythumb_up0 voto/sflag
    icon

    Antonius Benedictus
    el 28/5/19


    thumb_up0 voto/sflag
  • icon

    Cristina Ramírez
    el 22/3/19

    Hola, en el ejercicio que ha dejado planteado, ¿ que sigo sacando factor común y luego hago el determinante por Sarrus ? 

    replythumb_up0 voto/sflag
    icon

    César
    el 24/3/19

    te lo pide sin desarrollar


    thumb_up0 voto/sflag
  • icon

    David Carrillo
    el 10/4/18


    (1-X)^3 1+XXXX1+XXXX1+X

    DESPUES DE ESE DETERMINANTE QUE MAS PUEDO HACER??

    replythumb_up0 voto/sflag
    icon

    Antonius Benedictus
    el 10/4/18

    Sube al foro de Matemáticas una foto del enunciado original, por favor.

    thumb_up1 voto/sflag
  • icon

    maria
    el 21/8/17
    flagflagflag

    no sé como acabar el ejercicio, solo me sale uno de los resultados , el de -1/3


    replythumb_up0 voto/sflag
  • icon

    Maider
    el 5/6/17

    podriamos hacer miltiplicar la primera fila por X y luego sacar factor comun X ? quedandose asi toda una fila de 1nos y luego hacer gauss?

    replythumb_up0 voto/sflag
    icon

    Antonius Benedictus
    el 5/6/17

    No, pues no quedarían "unos", sino lo mismo.

    thumb_up0 voto/sflag
  • icon

    Marta Jerez
    el 7/2/17

    En lugar de aplicar Sarrus en cada determinante de 3x3, si ya vemos por ejemplo que la tercera fila es suma de las otras dos, ¿podríamos decir directamente que el valor de ese determinante es 0?, es por evitar equivocaciones al operar e ir más rápido. Gracias

    replythumb_up0 voto/sflag
    icon

    Antonius Benedictus
    el 7/2/17

    Cierto. Si en un determinante una de sus filas es combinación lineal de otras filas, el determinante vale 0. El mismo resultado, para columnas.

    thumb_up0 voto/sflag
  • icon

    Anny
    el 12/6/16
    flagflag

    Una pregunta, cómo saber cuándo factorizar un elemento de la matriz?

    replythumb_up0 voto/sflag
  • icon

    David
    el 8/12/15

    Hola David, haciendo el determinante por gauss me sale esto y me tendria que salir lo mismo que por el otro metodo y no se como seguir ni si esta bien

    replythumb_up0 voto/sflag
  • icon

    Daniel
    el 8/11/15

    Hola David, una pregunta.. Creo que hay una propiedad que dice que si hay dos filas-columnas iguales el valor del determinante es 0.. y en este ejercicio la primera fila es igual que la primera columna, por lo que el determinante seria 0 cualquiera que fuese el valor de x, no ?
    Un saludo.

    replythumb_up0 voto/sflag
    icon

    David
    el 9/11/15

    Lo que deben ser iguales son dos filas o dos columnas entre sí...

    thumb_up0 voto/sflag
  • icon

    alex
    el 11/10/15

    hola david podrias subir algun video de diagonalizacion y de rango de matrices?

    replythumb_up0 voto/sflag
    icon

    David
    el 12/10/15

    Busca "diagonalizacion" o "rouche". Encontrarás muchos vídeos. #nosvemosenclase
    Directamente, los encontrarás en el tema de MATRICES de 2º de BACHILLER o en el de ALBEGRA de la UNIVERSIDAD...

    thumb_up0 voto/sflag
  • icon

    Leonardo Guerrero
    el 1/9/15
    flag

    Hola David como hallo el valor de x de este ejercicio que metodo uso

    3 2 1
    5 x 2 = 0
    4 2 x

    gracias por tu ayuda


    replythumb_up0 voto/sflag
  • icon

    Leonardo Guerrero
    el 31/8/15

    Hola david, podrias hacer un video el cual explique la otra forma de hacer el ejercicio

    bendiciones

    replythumb_up1 voto/sflag
  • icon

    Yadara
    el 23/4/15

    Hola de nuevo! He hecho la segunda manera que has explicado de hacerlo y no me sale... Te envío foto a ver donde está el problema. Gracias.

    replythumb_up0 voto/sflag
  • icon

    Yadara
    el 23/4/15

    Hola! El paso final en el que multiplicas (3x+1)·(1-3)^3, ¿porque no coges también la primera fila (-->1 x x x)? Gracias.

    replythumb_up0 voto/sflag
    icon

    David
    el 24/4/15

    Lo siento, pero no podría explicartelo por escrito mejor de lo que intenté hacer en el video...

    thumb_up0 voto/sflag