¡UPS! Para ver vídeos en la web debes estar registrado, es totalmente gratuito.

Recuerda además que sólo por ser unicoo, GRATIS, podrás dejar tus dudas en los foros de beUnicoos, acumularás energy y help points y ganarás decenas de medallas. Registrarte solo te llevará unos segundos. Nosotros somos unicoos ¿y tú? #nosvemosenclase

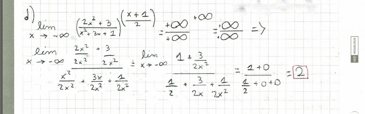
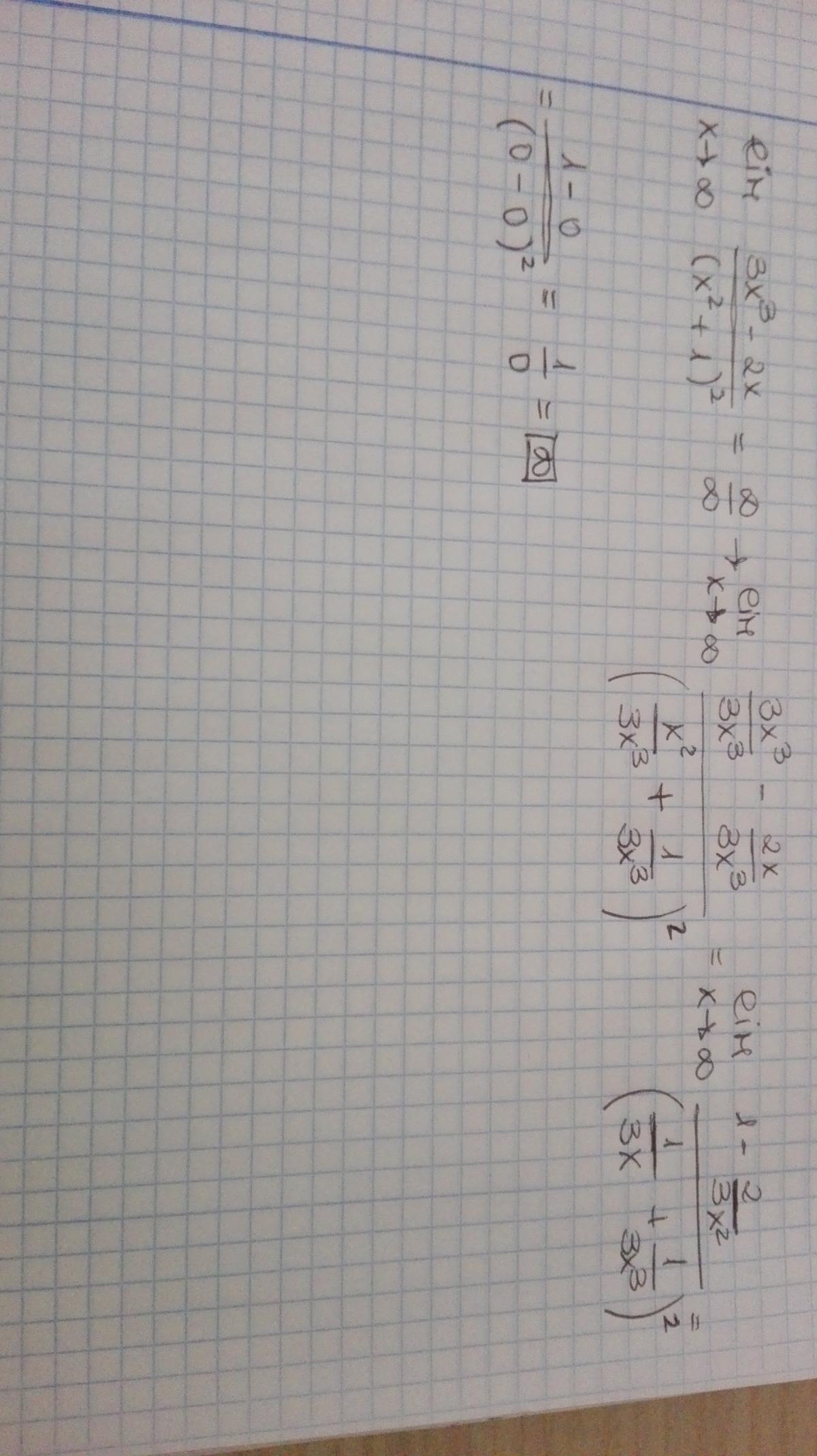
Límite infinito entre infinito con potencias

Esta vez haremos un limite de la indeterminación INFINITO ENTRE INFINITO (∞/∞) con funciones exponenciales.

Agregar a mi mochila
0/ 523

* Para utilizar tu mochila o guardar tu progreso y acumular energy points debes ser usuario registrado. Regístrate o inicia sesión

Material adicional

* Los materiales marcados con el símbolo de la estrella () sólo serán accesibles para usuarios PRO. Conviértete en PRO

Foro de preguntas y respuestas

logo beUnicoos
Los foros de unicoos se han unificado en nuestra nueva plataforma beUnicoos. Para dejar nuevas preguntas deberás hacerlo allí, donde además podrás encontrar nuevas asignaturas y herramientas para ayudarte más con tus estudios.
  • icon

    Cyya Summa
    el 3/5/19

    un número negativo mayor que 1, si se eleva infinitas veces también puede dar infinito si es par el infinito, y menos infinito si es impar el infinito. No?

    replythumb_up0 voto/sflag
    icon

    César
    el 5/5/19

    No hay infinitos que sean pares o impares

    1^(∞)=1  

    En los límites, sin embargo, no tendremos el número 1 elevado a infinito, sino un número que tiende a 1, muy cercano a 1, elevado a infinito.

    thumb_up0 voto/sflag
  • icon

    Fer Baixauli Navarro
    el 30/4/18

    Como se hacen los límites en los que tienes que utilizar un proceso análogo?????

    replythumb_up0 voto/sflag
    icon

    Antonius Benedictus
    el 30/4/18

    Sube al foro de Mates un caso que te desconcierte.

    thumb_up0 voto/sflag
  • icon

    Maria
    el 21/5/17

     ¿está bien hecho este límite?

    replythumb_up0 voto/sflag
  • icon

    Juan
    el 4/3/17

    Profe, que hago mal en esta situación? 


    En la corrección me dicen que la base esta bien calculada pero el exponente no. ¿Se ha de calcular por separado o como funciona? ¿El exponente es +∞ o -∞? 

    replythumb_up0 voto/sflag
  • icon

    ayelenvilca
    el 17/11/16
    flagflag

    el lim de x-> + infinito de 4^x-4^-x/ 4^x+4^-x..... se resolvería igual?

    replythumb_up0 voto/sflag
    icon

    David
    el 21/11/16

    Más o menos. Te sugiero dejes una foto con tu duda concreta en el foro general de matematicas. Besos!

    thumb_up0 voto/sflag
  • icon

    ana temprado
    el 6/11/16
    flag

    Y los limites del tipo 1^infinito y asi? o Con e? no los encuentro por ningun lado

    replythumb_up0 voto/sflag
    icon

    David
    el 7/11/16

    Limite UNO ELEVADO a INFINITO #nosvemosenclase Tienes dos..

    thumb_up0 voto/sflag
  • Usuario eliminado
    el 10/10/16

    DAVID:

      UNA VARIABLE NO PUEDE "TENDER" A INFINITO PORQUE EL INFINITO NO ES UN NUMERO. LA EXPRESION CORRECTA ES QUE LA VARIABLE SE HACE INFINITA. UNA VARIABLE PUEDE TENDER A UN NUMERO N Y SI TIENDE A INFINITO ENTONCES INFINITO ES UN NUMERO Y ESO ES FALSO.

    SALUDOS

    replythumb_up0 voto/sflag
    icon

    David
    el 13/10/16

    ¿¿???????

    thumb_up1 voto/sflag
  • icon

    conejo
    el 24/8/16

    En el minuto 8, ¿ es correcto poner infinito/infinito=3?
    ¿o la profe me lo puede tachar?

    replythumb_up0 voto/sflag
  • icon

    Oscar Alberto
    el 27/5/16

    Hola Profe si no es mucho pedirle, me gustaría si de ser posible subiera mas ejercicios Limites cuando hay que aplicar L`Hopital, porque acá son esos ejercicios candidatos al Oscar siempre estan en las pruebas jajaja. Gracias profesor Dios lo bendiga, le mando un abrazo.

    replythumb_up0 voto/sflag
  • icon

    Manuel Lopez Muñoz
    el 17/5/16

    buenas tardes! ¿hay algun video con 1 elevado a infinito? muchas gracias. un saludo David eres un crack!!

    replythumb_up0 voto/sflag
    icon

    David
    el 20/5/16

    DOS... Si buscas "uno elevado a infinito".... Para que no digas, te dejo el link... Limite UNO ELEVADO a INFINITO #nosvemosenclase ;-)

    thumb_up2 voto/sflag
  • icon

    kiwifix
    el 7/4/16
    flag

    2:08 Y si todas las potencias tienen x+ (algo), entonces para que valor lo divides?

    replythumb_up0 voto/sflag
  • icon

    Paula
    el 14/11/15

    ¿No se cambiaría el signo si (x+1)-x? Quiero decir , ¿ no sería -x-1-x? Porque el signo negativo cambia el signo a todo el paréntesis.
    Gracias

    replythumb_up0 voto/sflag
    icon

    Amparo
    el 15/11/15

    El signo negativo cambia el signo a todo el paréntesis cuando dicho signo está delante del paréntesis, no detrás. Es decir, si fuera -(x+1)-x, si sería como tú has dicho, pero en el caso del video el signo negativo solo pertenece a la x, y no al parentesis.
    Espero haberme explicado. Un saludo.

    thumb_up1 voto/sflag
  • icon

    Catalina
    el 27/10/15

    ¿Para dividir se coge el numero del denominador que tienda más a infinito?

    replythumb_up1 voto/sflag
    icon

    David
    el 29/10/15

    Sí, algo así...

    thumb_up1 voto/sflag
  • icon

    sebastian
    el 9/2/15

    y si un numero entre -1 y 0 es elevado a infinito ¿también tiende a 0?

    replythumb_up2 voto/sflag
    icon

    David
    el 10/2/15

    Sí.

    thumb_up4 voto/sflag