¡UPS! Para ver vídeos en la web debes estar registrado, es totalmente gratuito.

Recuerda además que sólo por ser unicoo, GRATIS, podrás dejar tus dudas en los foros de beUnicoos, acumularás energy y help points y ganarás decenas de medallas. Registrarte solo te llevará unos segundos. Nosotros somos unicoos ¿y tú? #nosvemosenclase

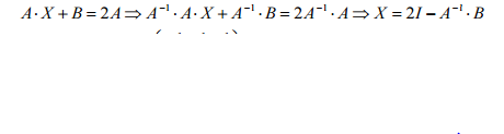
Ecuación matricial 02

Resolveremos una ecuación matricial, despejando primero la matriz X. Para ello utilizaremos la matriz inversa que obtuvimos en otro de nuestros videos, el primero de "matriz inversa". Tras alguna operación con matrices (multiplicaciones y sumas) hallaremos el resultado.

Agregar a mi mochila
0/ 596

* Para utilizar tu mochila o guardar tu progreso y acumular energy points debes ser usuario registrado. Regístrate o inicia sesión

Material adicional

* Los materiales marcados con el símbolo de la estrella () sólo serán accesibles para usuarios PRO. Conviértete en PRO

Foro de preguntas y respuestas

logo beUnicoos
Los foros de unicoos se han unificado en nuestra nueva plataforma beUnicoos. Para dejar nuevas preguntas deberás hacerlo allí, donde además podrás encontrar nuevas asignaturas y herramientas para ayudarte más con tus estudios.
  • icon

    Sergio Ruiz Lorente
    el 5/8/19
    flag

    En un examen resuelto de la selectividad del 2018 en cataluña, en la serie 5, ejercicio 6, me encuentro con esto:

    X·A-2·X=-A^t

    Como podemos ver, la X está a ambos lados, aunque una de ella no multiplica una matriz (la situada a la izquierda), es decir, por un lado tenemos X·A multiplicando por la izquierda y, luego, tendemos -2·X multiplicando por la derecha. 

    Debida a que las matrices no son conmutables, de ser el -2 una matriz, no podría aislarse la X, pero entiendo que al ser un número sí se puede. Es decir, es equivalente decir -2X que X·(-2), así pues puedo sacar factor común por la izquierda, siendo X una matriz y -2 un escalar.

    El exámen resuelve así: X·(A-2I)=-A^t

    ¿Podrían confirmarme si la matriz multiplicada por un escalar es conmutable?



    replythumb_up0 voto/sflag
    icon

    David
    el 14/10/19

    Para dudas que no tienen que ver explicitamente con lo que hago en un vídeo, lo ideal es que uséis el FORO GENERAL de matemáticas, física o química

    thumb_up1 voto/sflag
  • icon

    Lourdes
    el 21/5/19

    ¡Hola buenas! He hecho el ejercicio y el resultado es igual excepto por el 3 de la segunda fila que me da un 1 ya que 1*(-1)+(-1)*(-2)= 1 , y quería saber si estaba bien. 

    replythumb_up0 voto/sflag
    icon

    Breaking Vlad
    el 18/6/19

    es 1*1+0*2+(-1)*(-2)= 1+0+2=3

    thumb_up0 voto/sflag
  • icon

    Justo Darío Estévez Castilla
    el 31/3/18

    Hola buenas, quería saber el por qué se utiliza paréntesis para la resta de A cuadrado menos B. Es que yo al simplificar la ecuación lo he hecho sin paréntesis y he multiplicado primero la A inversa por A cuadrado y luego he restado B.

    replythumb_up1 voto/sflag
    icon

    Antonius Benedictus
    el 31/3/18

    Mal hecho, Justo. La matriz inversa premultiplica a TODO el segundo miembro, que es A^2 -B.

    thumb_up1 voto/sflag
  • icon

    Nicolas Goterris
    el 19/12/17

    David pienso que la solución esta mal, te paso una foto de la solución y el procedimiento y ya me dices. Gracias 

    replythumb_up1 voto/sflag
  • icon

    jcarloswg26
    el 29/10/17

    Hola David!

    Haciendo el ejercicio me ha dado otra matriz resultado y al hacerla con la calculadora me ha dado lo mismo. Mi resultado es:

    -1    2    1

    -1    3    3

    1    -2    -3

    replythumb_up0 voto/sflag
    icon

    David
    el 15/11/17

    El vídeo es correcto, no sabría que decirte... 

    thumb_up0 voto/sflag
  • icon

    Rocío
    el 4/6/17
    flag

     Hola David! ¿me puedes explicar por qué resuelve esa ecuación matricial así? Es el apartado a) de selectividad de junio de 2016 de Andalucía y está resuelto así en Emestrada pero no lo entiendo... 

    Saludos!

    replythumb_up0 voto/sflag
    icon

    Antonius Benedictus
    el 5/6/17


    thumb_up2 voto/sflag
  • icon

    Jordi Sánchez
    el 31/3/17

    De donde salio el -1 al hacer la inversa de A?

    replythumb_up1 voto/sflag
    icon

    Antonius Benedictus
    el 31/3/17

    La inversa de A se indica:  A-1


    thumb_up2 voto/sflag
  • icon

    Pedro Moreno Peñate
    el 28/3/17


    Hola a todos, haciendo el ejercicio hice lo siguiente:

    en la ecuación X = A-1(A2 - B) => X = (A-1* A2) - (A-1* B) ;

    Aquí operé por separado e hice (A-1A2) = A-1* A * A => de donde, aplicando que una matriz por su inversa es la matriz identidad A-1* A= I , sustituyendo  (A-1A2) = I * A ,  siguiendo con la aplicación de la teoría, toda matriz multiplicada por la matriz identidad da la misma matriz,  I * A = A;  entonces podemos afirmar que (A-1A2) = A,

    Haciendo las operaciones, X = A-1(A2 - B) = A - (A-1* B), me da el mismo resultado para X .

    Mi pregunta es: es esto correcto o ha sido una casualidad.

    Gracias






    replythumb_up0 voto/sflag
    icon

    Antonius Benedictus
    el 28/3/17

    No es una casualidad. Es un desarrollo impecable.

    thumb_up1 voto/sflag
  • icon

    Esther Giménez
    el 26/2/17

    Hola, tengo una duda con la siguiente ecuación A^2 · X = A - I. Podría utilizar la inversa para la matriz A^2? y sería así: (A^2)^-1 = A. Muchas graciaaas!

    replythumb_up0 voto/sflag
    icon

    Antonius Benedictus
    el 26/2/17

    En principio, podrías. Pero se complicaría. por cierto, sale esto:


    thumb_up1 voto/sflag
  • Usuario eliminado
    el 2/1/17

    Hola, perdón pero el resultado de 1x2 me sale 1 y no dos como has puesto. Lo he repasado varias veces y me sigue dando 1, está bien?

    replythumb_up0 voto/sflag
    icon

    David
    el 2/1/17

    Todo lo que hice en el video es 100% correcto. Te sugiero lo revises más despacio.
    En todo caso, ¿en que minuto:segundo exacto?


    thumb_up0 voto/sflag
  • icon

    Luis
    el 8/6/16

    perdon, que no habia dividido para el determinante de A que es -1.. Lo siento

    replythumb_up0 voto/sflag
    icon

    David
    el 11/6/16

    Dont worry.. :)

    thumb_up0 voto/sflag
  • icon

    Luis
    el 8/6/16

    La matriz inversa de A esta bien? Porque a mi me da todos numeros igual que a ti pero cambiados de signo

    replythumb_up0 voto/sflag
    icon

    David
    el 11/6/16

    Sí, revísalo despacio, por favor...

    thumb_up0 voto/sflag
  • icon

    Andres Felipe Castellanos Gonzalez
    el 11/3/16
    flag

    Hola, tengo una duda para despejar la X en esta expresion At.X.B-1=C
    Hasta ahora la tengo asi At.X=C.B, pero no se como pasar la A(transpuesta)

    replythumb_up0 voto/sflag
    icon

    David
    el 13/3/16

    X=(At)^(-1).C.B...

    thumb_up0 voto/sflag
  • icon

    Sergio Andrés Jara Gómez
    el 9/1/16
    flagflag

    Sea A una matriz de orden n × n no nula tal que A2 = 5A. Si kA + In, es una matriz invertible donde In es la matriz identidad de orden n, determine k ∈ R para que (kA+In) −1 = A3−A+In

    A3= A elevado a 3. (A cubo)

    A2= A elevado a dos. (A cuadrado)



    -1 : no es menos uno, eso quiere decir que es (kA+In) elevado a la menos uno.
    Por favor si me pueden ayudar a resolver ese ejercicio:( me ayudarían bastante, gracias:_)

    replythumb_up0 voto/sflag
    icon

    David
    el 10/1/16

    Para dudas que no tienen que ver explicitamente con el vídeo, lo ideal es que uséis los foros generales de matemáticas, física y química
    Se trata ADEMÁS de que DESPUES DE IR A CLASE (ver los vídeos relacionados con vuestras dudas) enviéis dudas concretas, muy concretas. Y que nos enviéis también todo aquello que hayais conseguido hacer por vosotros mismos. Paso a paso, esté bien o mal. No solo el enunciado. De esa manera podremos saber vuestro nivel, en que podemos ayudaros, cuales son vuestros fallos.... Y el trabajo duro será el vuestro. #nosvemosenclase Nos cuentas ¿ok?

    thumb_up1 voto/sflag
  • icon

    Jesús
    el 21/12/15
    flag

    David unha pregunta en aqui en esta ecuacion se podría hacer esto mira:
    Ax+B=A^2;
    AX=A^2-B;
    AX=A*A-B;
    A^-1*AX=A^-1A*A-B;
    X=A-B
    Muchas gracias .

    replythumb_up0 voto/sflag
    icon

    David
    el 23/12/15

    Si AX=A²-B..... X= A^(-1). [A²-B].... X= A^(-1).A²- A^(-1).B = A- A^(-1).B

    thumb_up1 voto/sflag
  • icon

    josea.baquero@hotmail.com
    el 18/11/15

    Gracias.

    replythumb_up0 voto/sflag
    icon

    David
    el 19/11/15

    :-) A tí!

    thumb_up1 voto/sflag
  • icon

    Antonio
    el 18/10/15

    Hola David. Por qué A^-1 pasa a la izquierda de la resta y no a la derecha?

    replythumb_up0 voto/sflag
    icon

    David
    el 19/10/15

    Solo puedo decirte que lo repases más despacio. Mucho más despacio...
    Sería imposible explicartelo mejor por escrito...

    P.D. La razón es que el producto de las matrices no es conmutativo y no es lo mismo A.B que B.A...

    thumb_up1 voto/sflag
  • icon

    PABLO
    el 13/10/15
    flagflag

    Hola David he atendido al video pero se me plantea la siguiente duda a la hora de colocar la inversa en este caso que tambien es de la PAU y aparece en mi libro resuelto:
    2X-B=AX
    2X-AX=B
    (2I-A)X=B ESTO YA NO LO ENTIENDO YO PONDRIA X(2I-A)=B
    X=(2I-A)INVERSA B YO HABIA PUESTO X= B (2I-A) INVERSA
    ¿Como es realmente el orden?.

    replythumb_up0 voto/sflag
  • icon

    Gaston
    el 14/7/15

    Graciass David! Entendi re bien ahora, Sos mas grande que "Maradona" diriamos aca en Argentina. Nos vemos en clase

    replythumb_up1 voto/sflag
    icon

    David
    el 16/7/15

    :-)

    thumb_up1 voto/sflag
  • icon

    Nenúfar
    el 4/6/15

    Hola David:) Siempre hay que pasar al otro miembro de la ecuación todo lo que podamos y luego multiplicar por la inversa, ¿no?

    Es que yo primero multipliqué por la inversa y luego pasé la B restando pero me he dado cuenta de que cuando multiplicaba en el primer miembro por la inversa, multiplicaba la inversa también a la B y yo no me dí cuenta y me salió mal.

    Entonces intento dejar siempre a la X multiplicada sólo por la matriz que tenga y luego multiplico por la inversa para eliminar esa matriz, ¿no?

    Por cierto, muchas gracias por tu apoyo. Gracias a tus vídeos he logrado graduarme en Bachillerato de Ciencias Puras, logré sacarme el graduado de la Eso y ahora espero aprobar la selectividad con la nota que necesito para hacer ingeniería en electrónica y automática industrial . (que creo que es lo que voy a estudiar si me da la nota, aunque todavía no lo tengo decidido)

    replythumb_up2 voto/sflag
  • icon

    Brayan
    el 16/3/15

    No hay un fallo en el resultado¿ cuándo multiplicas 0*0+1*0+2*0=0 no a 1

    replythumb_up0 voto/sflag
  • icon

    Mateo
    el 16/3/15

    min 6:21 , jajajajajajaja buen "chiste"

    replythumb_up1 voto/sflag
  • icon

    eugenia castilla
    el 5/3/15

    perdona he estado revisando el ejercicio y en el último paso, cuando calculas la 3ª fila,
    ¿no deberia ser = (-1 2 2)??

    replythumb_up0 voto/sflag
  • icon

    Irene
    el 25/2/15
    flag

    Si fuera como en ese ejercicio (118) seria exactamente igual que en este que has hecho?

    replythumb_up0 voto/sflag
    icon

    David
    el 25/2/15

    Sería parecido.... X.A² + B.A = A² si multiplicas a todos los terminos por A^(-1) te quedará...

    X.A.A.A^(-1) + B.A.A^(-1) = A.A.A^(-1)... X.A + B = A... X.A = A-B, etc, etc,...

    Si sigues con dudas, puedes dejarlas en el foro general de matematicas. Besos!

    thumb_up0 voto/sflag
  • icon

    Marina Rodríguez Román
    el 20/2/15

    Eres genial!!

    replythumb_up3 voto/sflag
    icon

    David
    el 20/2/15

    GRACIAS!

    thumb_up1 voto/sflag
  • icon

    julio
    el 16/12/14

    la matriz inversa A multiplicada por la matriz A elevada a 2 no es igua a la matriz A???

    replythumb_up0 voto/sflag

    Usuario eliminado
    el 16/12/14

    Hola Julio
    Así es!!! ;-)

    thumb_up0 voto/sflag