¡UPS! Para ver vídeos en la web debes estar registrado, es totalmente gratuito.

Recuerda además que sólo por ser unicoo, GRATIS, podrás dejar tus dudas en los foros de beUnicoos, acumularás energy y help points y ganarás decenas de medallas. Registrarte solo te llevará unos segundos. Nosotros somos unicoos ¿y tú? #nosvemosenclase

Asíntotas de una función 04

Este fue el primer vídeo de unicoos. Desde entonces han cambiado muchas cosas. Mejor cámara, mejor equipo, menos nervios, mejor edición... Con trabajo duro se consigue casi cualquier cosa...



Continuamos para hallar las asintotas verticales y horizontales y dibujaremos la función

Os recomiendo otros videos similares en esta seccion de la web...

Agregar a mi mochila
0/ 400

* Para utilizar tu mochila o guardar tu progreso y acumular energy points debes ser usuario registrado. Regístrate o inicia sesión

Material adicional

* Los materiales marcados con el símbolo de la estrella () sólo serán accesibles para usuarios PRO. Conviértete en PRO

Foro de preguntas y respuestas

logo beUnicoos
Los foros de unicoos se han unificado en nuestra nueva plataforma beUnicoos. Para dejar nuevas preguntas deberás hacerlo allí, donde además podrás encontrar nuevas asignaturas y herramientas para ayudarte más con tus estudios.
  • icon

    Emi Alonso
    el 7/5/19

    Podrías por favor hacer este ejercicio? es de selectividad y no logro hacerla,por favor!

    replythumb_up0 voto/sflag
    icon

    Antonius Benedictus
    el 7/5/19


    thumb_up1 voto/sflag
  • icon

    José María Amores
    el 30/1/19

    Disponiendo solamente de la gráfica de una función f que tiene dos asíntotas horizontales, ¿cómo se hallarían las asíntotas horizontales de la gráfica de la función derivada f' ?.

    replythumb_up0 voto/sflag
    icon

    Antonius Benedictus
    el 30/1/19

    Una asíntota horizontal indica que la curva se va poniendo horizontal suavemente. Esto es, que su pendiente se acerca a 0.

    Por tanto, la recta y=0 es asíntota  desu derivada.

    thumb_up1 voto/sflag
  • icon

    Mary Chacon Benitez
    el 20/4/18

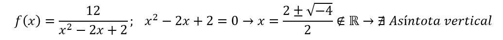
    como se sacaria la asintota vertical de f(x)=12/x^2-2x+2

    replythumb_up0 voto/sflag
    icon

    Antonius Benedictus
    el 20/4/18

    No hay.


    thumb_up2 voto/sflag