¡UPS! Para ver vídeos en la web debes estar registrado, es totalmente gratuito.

Recuerda además que sólo por ser unicoo, GRATIS, podrás dejar tus dudas en los foros de beUnicoos, acumularás energy y help points y ganarás decenas de medallas. Registrarte solo te llevará unos segundos. Nosotros somos unicoos ¿y tú? #nosvemosenclase

Vectores paralelos o perpendiculares - Producto escalar

Dados dos vectores u=3i+4j=(3,4) y v=i+xj=(1,x), hallaremos x para que ambos vectores sean PERPENDICULARES (u ortogonales), PARALELOS o para que formen entre si un angulo de π/4 (45º).
En el primer caso, recurriremos a una de las propiedades del PRODUCTO ESCALAR que establece que éste es nulo si ambos vectores son perpendiculares.
En el caso de que sean PARALELOS, nos "aprovecharemos" de que los vectores tendrán la misma pendiente o serán proporcionales para hallar x.
En el ultimo caso, recurriremos a la formula u v = |u| |v| cos(u^v) y resolveremos una ECUACION IRRACIONAL (con una raiz cuadrada).

Agregar a mi mochila
0/ 838

* Para utilizar tu mochila o guardar tu progreso y acumular energy points debes ser usuario registrado. Regístrate o inicia sesión

Material adicional

* Los materiales marcados con el símbolo de la estrella () sólo serán accesibles para usuarios PRO. Conviértete en PRO

Foro de preguntas y respuestas

logo beUnicoos
Los foros de unicoos se han unificado en nuestra nueva plataforma beUnicoos. Para dejar nuevas preguntas deberás hacerlo allí, donde además podrás encontrar nuevas asignaturas y herramientas para ayudarte más con tus estudios.
  • icon

    Vildoza Ivan
    el 2/8/19

    1) ¿cual es la condicion necesaria y suficiente para que dos vectores sean perpendiculares? ¿ y para que sean paralelos?

    2) ¿cual es la condicion (en terminos de producto vectorial y/o escalar) para que 3 vectores se encuentren en el mismo plano?

    replythumb_up0 voto/sflag
    icon

    Antonius Benedictus
    el 2/8/19


    thumb_up0 voto/sflag
  • icon

    Martín Sixto
    el 5/6/19

    Si el vector tuviera tres coordenadas, el apartado b) cómo se haría.

    replythumb_up0 voto/sflag
    icon

    David
    el 26/6/19

    Del mismo modo

    thumb_up0 voto/sflag
  • icon

    Marta
    el 30/3/19

    Hola! No sé como hacer el siguiente ejercicio:

    Calcula todos los posibles vectores de la forma u(a,b,0) que sean perpendiculares al vector a(1,1,3) y tengan módulo 16.

    Gracias!

    replythumb_up0 voto/sflag
    icon

    Antonius Benedictus
    el 30/3/19


    thumb_up0 voto/sflag
  • icon

    Juan
    el 23/2/19

    ¿Esto sirve para vectores en un espacio tridimensional?

    replythumb_up0 voto/sflag
    icon

    Antonius Benedictus
    el 23/2/19

    También en el espacio tridimensional, la condición para que dos vectores no nulos sean ortogonales es que su producto escalar valga 0.

    thumb_up0 voto/sflag
  • Usuario eliminado
    el 20/1/19

    Error verbal: Minuto 4:14, dices "X entre 1 es uno".

    Pero X entre 1 es X   :)

    Saludos.


    replythumb_up0 voto/sflag
    icon

    David
    el 27/1/19

    GRACIAS! :D

    thumb_up1 voto/sflag
  • icon

    Layla Alves
    el 28/2/18
    Flag pendienteflagflagflagflag

    Dado el triángulo que tiene los vértices en A (2, 6), B (7, 1) y C (-1, -3): 

    a) Calcula su área.

    b) Halla el ángulo correspondiente al vértice C.

    c) Determina el baricentro como intersección de rectas. 


    ¡Gracias! 🙃

    replythumb_up0 voto/sflag
    icon

    Antonius Benedictus
    el 28/2/18

    Puedes subir al foro de Matemáticas tu duda (no tus deberes). Un saludo.

    thumb_up8 voto/sflag
  • icon

    Briggithe Montenegro
    el 27/2/18
    flagflag

    calcula el angulo comprendido entre A=(-5i+3j)m  y  B=(-i+4j)m


    replythumb_up0 voto/sflag
    icon

    Antonius Benedictus
    el 28/2/18

    Sube al foro de Matemáticas una foto del enunciado original, por favor.

    thumb_up0 voto/sflag
  • icon

    Elene Altzuguren Arregui
    el 16/2/18

    Hola!

    ¿Podrías hacer este mismo ejercicio con los siguientes datos?

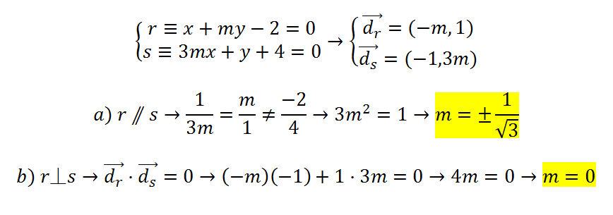
    Encontrar el valor de m, sabiendo que r: x + my - 2 = 0   y   s: 3mx + y + 4 = 0.

    a) Para que sean paralelas.

    b)Para que sean perpendiculares.

    Gracias

    replythumb_up0 voto/sflag
    icon

    Antonius Benedictus
    el 16/2/18


    thumb_up0 voto/sflag
  • icon

    sergiozieko
    el 24/1/17

    Hola! Este tipo de ejercicios puede entrar con 3 coordenadas de los vectores (i, j, k)


    replythumb_up2 voto/sflag
    icon

    Antonius Benedictus
    el 25/1/17

    En  efecto, es similar en el espacio tridimensional.

    thumb_up4 voto/sflag
  • icon

    saray
    el 16/8/16
    flagflag

    Para comprobar que tres vectores son linealmente independientes entre si se puede hacer igualando sus coordenadas de este modo? (imagina que a, b y c son vectores )
    a= b+c
    b= a+c
    c= a+b

    replythumb_up0 voto/sflag
    icon

    David
    el 24/8/16

    No entiendo, lo siento... Para saber si son independientes se estudia el rango de la matriz que forman... busca los vídeos de RANGO de UNA MATRIZ...

    thumb_up3 voto/sflag
  • icon

    Ruben Mangano
    el 3/3/16
    Flag pendiente

    En el video dices que la pendiente de un vector es m=(b,a) pero en todos sitios pone que es (-a,b) o (a,-b). ¿ Cúal es correcta ?

    replythumb_up0 voto/sflag
    icon

    David
    el 4/3/16

    En ningun caso he dicho que la pendiente sea (b,a)... La pendiente es un numero.. Repasalo despacio...

    thumb_up0 voto/sflag
  • Usuario eliminado
    el 3/1/16
    flagflag

    ¿Cómo se sacaría la X en el apartado b (vectores paralelos) utilizando el primer método de igualar las dos divisiones si fueran vectores en el espacio (con tres números)? Gracias.

    replythumb_up0 voto/sflag
  • icon

    nathan
    el 27/9/15

    profe, disculpe lo básico de mi pregunta, pero en el apartado c, los valores finales de x1 y x2 a qué corresponden, cual es la interpretación de esos valores, gracias.

    replythumb_up0 voto/sflag
    icon

    David
    el 8/10/15

    Simplemente los posibles valores de la coordenada "x" del vector "v"

    thumb_up0 voto/sflag
  • icon

    Ire
    el 15/6/15
    flag

    Daviiiid, el apartado b, si hago el determinante de los vectores, también puedo sacar la x no?
    Si no fuera así, en qué casos tendría que hacer este proceso que digo? (Es decir, que qué me tendrían que pedir)

    replythumb_up0 voto/sflag
  • icon

    laura
    el 8/4/15
    Flag pendiente

    Hola, tengo un examen de recuperación el 17 de abril, y me gustaría saber si hay algún vídeo de vectores sobre dependencia e independencia lineal. Gracias.

    replythumb_up0 voto/sflag
    icon

    David
    el 13/4/15

    Espero te ayude este... ALGEBRA - Base de un espacio vectorial #nosvemosenclase

    thumb_up0 voto/sflag
  • icon

    Nicole
    el 7/3/15

    Tengo un examen parcial de 1 ro de bachiller espero aprovar

    replythumb_up1 voto/sflag
    icon

    David
    el 8/3/15

    :-) Y yo que lo hagas, aunque lo realmente importante es que entiendas como se hacen...
    El resto, aprobar, llegará tarde o temprano.... Besos!

    thumb_up0 voto/sflag
  • icon

    juanjo
    el 7/3/15
    flagflag

    Disculpe profe.. tengo un punto que es asi....
    Dados los vectores B = 3i+2j A (-2,4) C -5i -j

    A determine el angulo que forma cada vector con ele eje O X
    B encuentre el valor de Vx y Vy obtenidos al descomponer cada vector ..

    replythumb_up0 voto/sflag
    icon

    David
    el 8/3/15

    El angulo?.... Recuerda que para cualquier vector la tanα= Vy/Vx...
    En el primer caso, por ejemplo tanα=2/3...
    En este vídeo, aunque parezca que no tiene que ver, explico exactamente lo mismo cuando calculo el angulo.. Numeros complejos 03 - De forma binomica a polar
    La pregunta B, no tiene mucho sentido... Para el B, por ejemplo, vx=3 y vy=2...

    P.D. Para dudas que no tienen que ver explicitamente con el vídeo, lo ideal es que uséis los foros generales de matemáticas, física y química. Se trata de que DESPUES DE IR A CLASE (ver los vídeos relacionados con vuestras dudas) enviéis dudas concretas, muy concretas. Y que nos enviéis también todo aquello que hayais conseguido hacer por vosotros mismos. Paso a paso, esté bien o mal. No solo el enunciado. De esa manera podremos saber vuestro nivel, en que podemos ayudaros, cuales son vuestros fallos.... Y el trabajo duro será el vuestro. #nosvemosenclase

    thumb_up2 voto/sflag
  • icon

    Mario
    el 18/1/15
    flagflagflag

    Que diferencia hay entre el apartado a) y el e)???

    replythumb_up0 voto/sflag
    icon

    David
    el 18/1/15

    ¿qué apartado e)?

    thumb_up1 voto/sflag