¡UPS! Para ver vídeos en la web debes estar registrado, es totalmente gratuito.

Recuerda además que sólo por ser unicoo, GRATIS, podrás dejar tus dudas en los foros de beUnicoos, acumularás energy y help points y ganarás decenas de medallas. Registrarte solo te llevará unos segundos. Nosotros somos unicoos ¿y tú? #nosvemosenclase

Representación de una función exponencial 03

Veremos como representar una FUNCIÓN EXPONENCIAL, en concreto la de y=-3^x, prácticamente idéntica a la función 3^x, pero cambiada de signo. Construiremos una tabla de valores, veremos por ejemplo porqué -3²=-9 y representaremos la función a partir de los puntos obtenidos.

Agregar a mi mochila
0/ 441

* Para utilizar tu mochila o guardar tu progreso y acumular energy points debes ser usuario registrado. Regístrate o inicia sesión

Foro de preguntas y respuestas

logo beUnicoos
Los foros de unicoos se han unificado en nuestra nueva plataforma beUnicoos. Para dejar nuevas preguntas deberás hacerlo allí, donde además podrás encontrar nuevas asignaturas y herramientas para ayudarte más con tus estudios.
  • icon

    Luis Calvo
    el 18/7/17
    flag

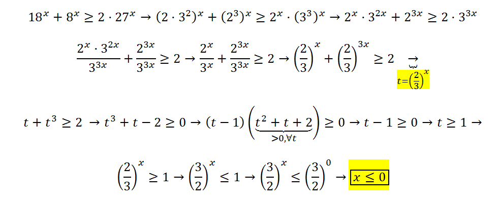
    Hola, me podrian ayudar por favor.

    tengo la inecuacion 18x + 8x  ≥ 2(27)x 

    gracias por su ayuda¡



        

    replythumb_up0 voto/sflag
    icon

    Antonius Benedictus
    el 18/7/17


    thumb_up0 voto/sflag
  • icon

    Silvina Villarreal
    el 12/5/16
    flagflag

    Hola, me piden que resuelva esta ecuación exponencial y que la represente graficamente:

    x x+1
    3 +3 = 1z

    Ojala que me puedan ayudar! Gracias

    replythumb_up0 voto/sflag
    icon

    David
    el 13/5/16

    Lo siento pero no se entiende lo que quieres expresar.... Te sugiero lo escribas en un papel y nos adjuntes una foto en el FORO GENERAL DE MATEMATICAS...

    thumb_up0 voto/sflag