¡UPS! Para ver vídeos en la web debes estar registrado, es totalmente gratuito.

Recuerda además que sólo por ser unicoo, GRATIS, podrás dejar tus dudas en los foros de beUnicoos, acumularás energy y help points y ganarás decenas de medallas. Registrarte solo te llevará unos segundos. Nosotros somos unicoos ¿y tú? #nosvemosenclase

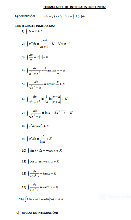
Integral de secx (secante)

Correspondiente a 2º de Bachiller, resolveremos la INTEGRAL de secx (SECANTE). Para ello, multiplicaremos a numerador y denominador por la expresión (secx+tanx) que nos permitirá resolver la integral de forma inmediata pues será del tipo LOGARITMO NEPERIANO.

Agregar a mi mochila
0/ 413

* Para utilizar tu mochila o guardar tu progreso y acumular energy points debes ser usuario registrado. Regístrate o inicia sesión

Foro de preguntas y respuestas

logo beUnicoos
Los foros de unicoos se han unificado en nuestra nueva plataforma beUnicoos. Para dejar nuevas preguntas deberás hacerlo allí, donde además podrás encontrar nuevas asignaturas y herramientas para ayudarte más con tus estudios.
  • icon

    Kevin
    el 5/6/19
    flag

    Hola alguien me puede ayudar con esto, llevo 3 días intentando y no sé cómo se hace, tengo que integrar por sustitución trigonométrica 

    Integral de x/25+x^2 dx

    Si me pueden ayudar, es mi examen y no tengo ni idea de cómo se hace, le muestro al profe mi ejercicio y no me dice en qué estoy mal

    replythumb_up0 voto/sflag
    icon

    Breaking Vlad
    el 23/6/19

    Se trata de que DESPUES DE IR A CLASE (ver los vídeos relacionados con vuestras dudas) enviéis dudas concretas, muy concretas. Y que nos enviéis siempre también todo aquello que hayais conseguido hacer por vosotros mismos. Paso a paso, esté bien o mal. No solo el enunciado. De esa manera podremos saber vuestro nivel, en que podemos ayudaros, cuales son vuestros fallos.... Y el trabajo duro será el vuestro.

    thumb_up0 voto/sflag
  • icon

    Alejandro Uribe
    el 6/3/19
    flag

    Hola buenas noches 

    Alguien me puede ayudar con el siguiente ejercicio 

    Un cohete a propulsión es lanzado hacia arriba en dirección vertical y alcanza una aceleración de 8mts/s2 durante los primeros 12 segundos después del lanzamiento, luego se apaga el motor y el cohete queda sometido a una aceleración de la gravedad de -12mts/s2 

    Que altura alcanza subir el cohete? 


    Muy agradecido en lo q me puedan ayudar

    replythumb_up2 voto/sflag
    icon

    Antonius Benedictus
    el 6/3/19

    Sube la duda al foro de Física, por favor,

    thumb_up0 voto/sflag
  • icon

    Luciana Arce
    el 31/10/18
    flag

    Hola !! Me podrían ayudar con los incisos b) y d). Gracias!!!

    replythumb_up0 voto/sflag
  • icon

    Rayan Mes
    el 31/10/18
    flagflag

    Hola , alguien me puede resolver esta integral doble en una region 

    replythumb_up0 voto/sflag
    icon

    David
    el 2/11/18

    Hola! Me encantaría ayudarte, pero no respondo dudas universitarias que no tengan que ver específicamente con los videos que ya he grabado como excepcion. O de otras asignaturas que no sean matemáticas, física y química. Lo siento de corazón… Espero lo entiendas

    Ojalá algun unicoo universitario se anime a ayudarte (de hecho lo ideal es que todos los universitarios intentarais ayudaros los unos a los otros)

    P.D. 

    Para dudas que no tienen que ver explicitamente con lo que hago en un vídeo, lo ideal es que uséis el FORO GENERAL de matemáticas, física o química

    thumb_up1 voto/sflag
  • icon

    Alex Alfaro Argota
    el 7/8/18

    Buenos tardes desde Colombia, señores profesores donde puedo encontrar una tabla de integrales, que este completa



    replythumb_up0 voto/sflag
    icon

    Antonius Benedictus
    el 8/8/18


    thumb_up0 voto/sflag
  • icon

    pepi
    el 17/3/18

    Hola!

    Como sería la integral:

    ∫e^(-lnx)xsinxdx?

    Gracias!

    replythumb_up0 voto/sflag
    icon

    Antonius Benedictus
    el 17/3/18

    Pon foto del enunciado original en el foro.

    thumb_up0 voto/sflag
  • icon

    pepi
    el 17/3/18

    Hola!

    La integral ∫xraiz(x^2+1)dx, es una integral por partes?


    Gracias!

    replythumb_up0 voto/sflag
    icon

    Antonius Benedictus
    el 17/3/18

    Cambio de variable  t=x^2+1

    thumb_up0 voto/sflag
  • icon

    pepi
    el 14/3/18
    flagflag

    Buenos días,

    me podríais ayudar con este problema?

    Calcular ∫(x+y)2ex-ydxdy donde R es una región limitada por x+y=1, x+y=4; x-y=-1 y x-y=1. 

    Yo lo que he hecho ha sido un cambio de variables: a x+y le he llamado x’ y a x-y le he llamado y’. Pero no me da lo que debería y no se donde me equivoco. Me tendría que dar: 21/2(e-1/e).


    Gracias!

    replythumb_up1 voto/sflag
    icon

    Antonius Benedictus
    el 14/3/18

    ¡Hola! Nos encantaría ayudarte, pero no solemos responder dudas universitarias que no tengan que ver específicamente con los vídeos que David Calle ha grabado como excepción. O de otras asignaturas que no sean Matemáticas, Física y Química. Lo sentimos de corazón… Esperamos que  lo entiendas.

    Ojalá algún unicoo universitario se anime a ayudarte (de hecho, lo ideal es que todos los universitarios intentarais ayudaros los unos a los otros).

    thumb_up0 voto/sflag
  • icon

    Carla
    el 11/11/17
    flagflag

    Hola, cómo puedo resolver esto? Parametrizando o con teoremas?

    replythumb_up0 voto/sflag
    icon

    Antonius Benedictus
    el 12/11/17

    ¡Hola! Nos encantaría ayudarte, pero no solemos responder dudas universitarias que no tengan que ver específicamente con los vídeos que David Calle ha grabado como excepción. O de otras asignaturas que no sean Matemáticas, Física y Química. Lo sentimos de corazón… Esperamos que  lo entiendas.

    Ojalá algún unicoo universitario se anime a ayudarte (de hecho, lo ideal es que todos los universitarios intentarais ayudaros los unos a los otros).

    thumb_up2 voto/sflag
  • icon

    Gabriel Andrés Dehner
    el 3/11/17

    Buenas! No estoy pudiendo hacer la integral de tan (x). Agradeceré su ayuda en demasía. ∫tan(x)

    Saludos desde Argentina!

    replythumb_up0 voto/sflag
    icon

    David
    el 15/11/17

    tanx=senx/cosx.. La integral es ln(-cosx).. Lo explico en los primeros videos de integrales inmediatas. Abrazos!

    thumb_up1 voto/sflag
  • icon

    Daniel Ramos
    el 3/10/17

    disculpe podria hacer videos de integrales dobles???


    replythumb_up3 voto/sflag
    icon

    David
    el 4/10/17

    Los tengo en mente y caerán muy muy pronto. Este año, seguro.

    thumb_up11 voto/sflag
  • icon

    Emanuel
    el 18/8/17

    Hola me podrías ayudar con esto?

    \int \frac{dx}{x^2-5+\sqrt{1+x^2}}

    replythumb_up0 voto/sflag
    icon

    Antonius Benedictus
    el 18/8/17

    Sube al foro una foto del enunciado original.

    thumb_up0 voto/sflag
  • icon

    Julio Donadello
    el 12/6/17

    En que sección estan las integrale triples? o de flujo¿?

    replythumb_up0 voto/sflag
    icon

    Antonius Benedictus
    el 12/6/17

    Quedan fuera del ámbito de esta página.

    thumb_up0 voto/sflag
  • icon

    David
    el 4/6/17
    flagflag

    ¿Es correcta esta integral? Se pide calcular la integral en V de la función f(x, y, z)=y[x] siendo [x] la parte entera de x.


    Lo que he hecho ha sido representar el dominio y dividirle en 2 dependiendo del valor que toma x, porque

    si x∈[0,1) → f (x, y)=0

    si x∈[1,2) → f (x, y)=y


    Lo que no se es si el paso a la integral es correcto.


    Un saludo unicoos. 

    replythumb_up0 voto/sflag
    icon

    Antonius Benedictus
    el 4/6/17

    ¡Hola! Nos encantaría ayudarte, pero no solemos responder dudas universitarias que no tengan que ver específicamente con los vídeos que David ha grabado como excepción. O de otras asignaturas que no sean Matemáticas, Física y Química. Lo sentimos de corazón… Esperamos que  lo entiendas.

    Ojalá algún unicoo universitario se anime a ayudarte (de hecho, lo ideal es que todos los universitarios intentarais ayudaros los unos a los otros).

     Si te parece bien, súbela al FORO de Matemáticas.

    thumb_up0 voto/sflag
  • icon

    Claudia
    el 12/3/17
    flag

    Alguien sabe cómo hacer este ejercicio??

    replythumb_up1 voto/sflag
    icon

    Antonius Benedictus
    el 12/3/17

    Ya lo tienes en el foro.

    thumb_up0 voto/sflag
  • icon

    Gustavo Alfredo Briñez Rocha
    el 19/12/16
    flagflag


    COMO SE RESUELVE ESTE EJERCICIO??


    replythumb_up0 voto/sflag
    icon

    David
    el 20/12/16

    A ver.. Para empezar yu duda no tiene nada que ver con el video, son integrales definidas y por tanto, debes dejarla en el foro general de matematicas. No obstante, aún así, se trata de que DESPUES DE IR A CLASE (ver los vídeos relacionados con vuestras dudas) enviéis dudas concretas, muy concretas. Y que nos enviéis también todo aquello que hayais conseguido hacer por vosotros mismos. Paso a paso, esté bien o mal. No solo el enunciado. De esa manera podremos saber vuestro nivel, en que podemos ayudaros, cuales son vuestros fallos.... Y el trabajo duro será el vuestro. Nos cuentas ¿ok? #nosvemosenclase ;-)


    thumb_up2 voto/sflag
  • icon

    Angel Rodriguez
    el 25/11/16
    flagflag

    hola unicoos estaria bueno si subes integracion por sustitucion trigonometrica, y sustitucion por fracciones o parciales 

    replythumb_up0 voto/sflag
    icon

    David
    el 29/11/16

    Tienes varios.... Integral TRIGONOMETRICA 01
    Y por fracciones parciales Integrales racionales

    thumb_up1 voto/sflag
  • icon

    Rene
    el 13/10/16
    flagflag

    • Por favor ayúdame con esta integral.
      ∫√(9x⁴+4x²+1)dx



    replythumb_up0 voto/sflag
    icon

    David
    el 17/10/16

    Para dudas que no tienen que ver explicitamente con el vídeo, lo ideal es que uséis los foros generales de matemáticas, física y química

    Se trata de que DESPUES DE IR A CLASE (ver los vídeos relacionados con vuestras dudas) enviéis dudas concretas, muy concretas. Y que nos enviéis también todo aquello que hayais conseguido hacer por vosotros mismos. Paso a paso, esté bien o mal. No solo el enunciado. De esa manera podremos saber vuestro nivel, en que podemos ayudaros, cuales son vuestros fallos.... Y el trabajo duro será el vuestro. #nosvemosenclase Nos cuentas ¿ok?

    thumb_up1 voto/sflag
  • icon

    Rocio Elizabeth Lazo Gamarra
    el 1/10/16

    Busque algún vídeo de Integración por sustitución trigonométrica pero no encuentro, tal vez ustedes sepan en donde esta....o quizá no lo hayan grabado. Bueno, quisiera por favor de que si tuvieran me dijeran en donde lo puedo encontrar. Gracias de antemano :)


    replythumb_up0 voto/sflag
    icon

    David
    el 3/10/16

    En los siguientes videos de esta misma lección... 

    thumb_up0 voto/sflag
  • icon

    Karla Pamela Saavedra Changanaqui
    el 25/9/16
    flagflagflag

    Buenas noches,porfavor quiero saber como seria la resolucion de estos dos ejercicios de integracion trigonometricas es para practicar para un examen.De antemano le agradesco por su ayuda.


    replythumb_up0 voto/sflag
    icon

    David
    el 26/9/16

    Para dudas que no tienen que ver explicitamente con el vídeo, lo ideal es que uséis los foros generales de matemáticas, física y química

    Se trata ADEMÁS de que DESPUES DE IR A CLASE (ver los vídeos relacionados con vuestras dudas) enviéis dudas concretas, muy concretas. Y que nos enviéis también todo aquello que hayais conseguido hacer por vosotros mismos. Paso a paso, esté bien o mal. No solo el enunciado. De esa manera podremos saber vuestro nivel, en que podemos ayudaros, cuales son vuestros fallos.... Y el trabajo duro será el vuestro. #nosvemosenclase Nos cuentas ¿ok?

    thumb_up0 voto/sflag
  • icon

    petter
    el 31/1/16
    flagflag

    como integraremos estas expresion! cosecx entre cosecx-senx

    replythumb_up0 voto/sflag
    icon

    David
    el 1/2/16

    Para dudas que no tienen que ver explicitamente con el vídeo, lo ideal es que uséis los foros generales de matemáticas, física y química
    Se trata de que DESPUES DE IR A CLASE (ver los vídeos relacionados con vuestras dudas) enviéis dudas concretas, muy concretas. Y que nos enviéis también todo aquello que hayais conseguido hacer por vosotros mismos. Paso a paso, esté bien o mal. No solo el enunciado. De esa manera podremos saber vuestro nivel, en que podemos ayudaros, cuales son vuestros fallos.... Y el trabajo duro será el vuestro. #nosvemosenclase Nos cuentas ¿ok?

    thumb_up0 voto/sflag
  • icon

    bastian reyes
    el 31/8/15

    En el caso de que la secante esté elevada al cubo utilizo integración por partes?

    replythumb_up0 voto/sflag
    icon

    David
    el 31/8/15

    Sí, podrías intentarlo así... Recuerda que la sec²x es una forma de expresar la derivada de tanx.... Por tanto ∫sec²x. dx=tanx Eso te vendrá bien a la hora de itnegrar por partes. Nos cuentas ¿ok?

    thumb_up3 voto/sflag
  • icon

    Matías
    el 12/2/15

    Cómo puedo hacer para darme cuenta de cosas como esas? Es decir, de qué cosa puedo multiplicar para que me quede algo más simple. Yo solo jamás podría darme cuenta de lo que hiciste ahí :(

    replythumb_up0 voto/sflag
    icon

    David
    el 13/2/15

    Esta integral es un caso especial y la primera vez es imposible lo veas por tí mismo (yo también necesité que me dieran esa "idea feliz")... Con mucha practica poco a poco irás acumulando trucos como este.. Un abrazo!

    thumb_up1 voto/sflag
  • icon

    Ian
    el 19/1/15

    disculpa sinceramente no observe el el video porque no quiese confundirme lugo. Quisiera sabe si con este video empiezo porque no he visto nada mas o me pego una revisada de la teoria (ojo hay videos en los que tu repasas la teoria )

    replythumb_up0 voto/sflag
    icon

    David
    el 19/1/15

    Si quieres empezar con integrales deberías hacerlo por los de INTEGRALES INMEDIATAS
    Integrales inmediatas
    Estas son las más complicadas, de nivel universitario avanzado...
    #nosvemosenclase ABRAZOS!!

    thumb_up0 voto/sflag