Foro de preguntas y respuestas de Matemáticas

logo beUnicoos
Los foros de unicoos se han unificado en nuestra nueva plataforma beUnicoos. Para dejar nuevas preguntas deberás hacerlo allí, donde además podrás encontrar nuevas asignaturas y herramientas para ayudarte más con tus estudios.

  • icon

    Aitor
    el 18/3/18

    Encima de la recta r se dibujan 5 puntos, y paralela a r, se dibujan 8 puntos en una recta s. Cuantos triángulos se pueden dibujar si se toman como vértices los 13 puntos dibujados?

    replythumb_up0 voto/sflag
    icon

    Antonius Benedictus
    el 18/3/18


    thumb_up1 voto/sflag
  • icon

    Aitor
    el 18/3/18

    Hola buenas tardes,

    Voy a enviar varios ejercicios de probabilidad ya que no se si los tengo bien y tengo examen el miércoles. El primero dice así: hay 4 bolas blancas, 6 negras y 8 rojas en una caja y se hacen 3 sacadas. Resuelva los siguientes apartados devolviendo y no devolviendo las bolas. (1.) Calcula la probabilidad para que le toque una bola de cada color. (2.) Calcule la probabilidad para que le toquen dos bolas de distintos colores. (3.) Calcula la probabilidad para que la segunda bola sea roja sabiendo que la primera bola es negra y la tercera blanca. (4.) Que puede decir de los resultados obtenidos?


    replythumb_up0 voto/sflag
    icon

    Antonius Benedictus
    el 18/3/18

    ¿Puedes poner foto del enunciado original, Aitor?

    thumb_up0 voto/sflag
    icon

    Aitor
    el 18/3/18

    Es que están en euskera...

    thumb_up0 voto/sflag
    icon

    Aitor
    el 18/3/18


    thumb_up0 voto/sflag
    icon

    Antonius Benedictus
    el 18/3/18

    Si fuese catalán o gallego, lo entendería. Pero el vascuence es muy difícil.

    thumb_up0 voto/sflag
    icon

    Antonius Benedictus
    el 18/3/18

    El a):


    thumb_up1 voto/sflag
    icon

    Rasyer
    el 18/3/18

    Para el b)

    Sabemos la probabilidad que salga una bola de cala color. Si calculamos la probabilidad que salgan las tres del mismo color, la probabilidad que salgan de color diferente será 1 - Pr(una de cada color) - Pr(todas del mismo color)

    Por lo tanto vamos a calcular que otdas sean del mismo color:

    Pr = (4*3*2)/(18*17*16) + (8*7*6)/(18*17*16) + (6*5*4)/(18*17*16) = 5/51

    Por lo tanto Pr(dos bolas del mismo color) = 1 - 4/17 - 5/51 = 2/3

    c)

    Para el tercer problema (aunque lo podrías haber hecho con todos) lo más fácil es que te hagas un árbol con 3 niveles, equivalentes a las extracciones, y calculando la probabilidad de cada una. En total tendrás 9 sucesos diferentes. De estos sumas la probabilidad de los que te interesan.


    thumb_up1 voto/sflag
  • icon

    Pablo Bonillo
    el 18/3/18

    Buenas tardes no encuentro la demostracion de esta propiedad de los numeros combinatorios ( n sobre 0 mas n sobre 1 mas n sobre n igual a 2 elevado a n) ... me podeis ayudar?


    (n )+(n)+( n)+  ....( n)= 2n

     0         1        2                n


    replythumb_up0 voto/sflag
    icon

    Antonius Benedictus
    el 18/3/18


    thumb_up0 voto/sflag
  • icon

    Miriana
    el 18/3/18

    Hola, alguien me podría ayudar a resolver este ejercicio por favor? Gracias 

    replythumb_up0 voto/sflag
    icon

    Antonius Benedictus
    el 18/3/18


    thumb_up0 voto/sflag
  • icon

    Nayara Cantó
    el 18/3/18

    me podrían ayudar a resolver esa ecuación?

    replythumb_up0 voto/sflag
    icon

    Ángel
    el 18/3/18

    (sen2x) + cosx = 1

    Tenemos en los apuntes de clase que sen2x+cos2x=1  ----->  sen2x= 1-cos2x

    (1-cos2x) + cosx = 1

    cos2x-cosx = 0

    cosx*(cosx-1)=0

    Obtenemos las dos soluciones igualando cada factor por separado a cero

    Solución1-----> cosx=0   ------>  x1=arcos(0) = 90º+180ºK = (π/2)+π*K

    Solución2-----> cosx-1=0 ------>  x2=arcos(1) = 0º+360ºK = 0+2π*K= 2π*K


    thumb_up0 voto/sflag
  • icon

    Nayara Cantó
    el 18/3/18

    es sobre un ejercicio de trigonometria el ejercicio me pide que demuestre que está identidad trigonometrica  es cierta pero no se como hacerlo sólo se que 1=sen^2x+cos^2x  y que la tagx=senx/cosx pero no se como sustituirlo en esa fórmula para demostrar la igualdad 

    replythumb_up0 voto/sflag
    icon

    Antonius Benedictus
    el 18/3/18


    thumb_up0 voto/sflag
  • icon

    Tamara Cabrera
    el 18/3/18

    Hola buenos dias, soy nueva en esta pagina, existe forma alguna que alguien me pueda dar clases virtuales de matematicas? Estoy por ingresar a la universidad y la verdad estoy desorientada de toda la matematica, necesito ayudaaaa por favor!!! Solo para refrescar memoria, ya que hace mas de 7 años que no estudio. Gracias 

    replythumb_up0 voto/sflag
    icon

    Guillem De La Calle Vicente
    el 18/3/18

    Hola! Enviame un whatsapp en 634257010 y hablamos.

    Saludos.

    thumb_up0 voto/sflag
  • icon

    Pablo Gallego
    el 18/3/18

    hola, alguien me ayuda con este ejercicio sobre sistemas de ecuaciones exponenciales y logarítmicas, no lo entinedo muy bien. Muchas gracias de antemano, sq mañana tengo examen

    replythumb_up0 voto/sflag
    icon

    Ángel
    el 18/3/18

    Sean x las horas transcurridas.

    MensajeslocalidadLeandro ------>  L(x)=3x=(1354/2)+(104/2)  ------->   L(x)=3x=677+52 ------>  L(x)=3x=729   ----->      3x=36    --------->  x=6 horas tarda en extenderse

    Mensajeslocalidadvecina---------->  V(x)=5x= ((1354/2)-(104/2)  ------->   V(x)=5x=677-52 ------>  V(x)=5x=625   ----->      5x=54    --------->  x=4 horas tarda en extenderse


    Horastranscurridas= MensajeslocalidadLeandro + Mensajeslocalidadvecina = 6+4 = 10 horas


    thumb_up0 voto/sflag
  • icon

    Alejandro Expósito
    el 18/3/18

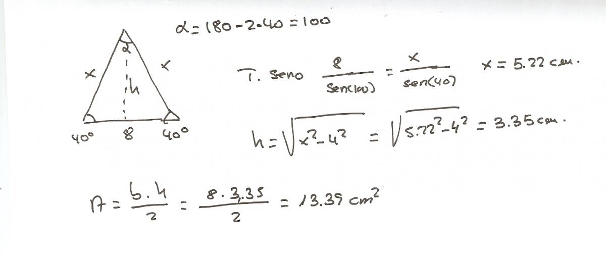
    En un triangulo isósceles  el lado desigual mide 8 cm y los ángulos iguales 40º Calcula el área y el valor de los otros ángulos y las medidas de los lados iguales

    Alguien me lo explica


    replythumb_up0 voto/sflag
    icon

    Roberto Mulas García
    el 18/3/18

    Aplica el teorema de Pitágoras aprovechando los lados iguales. Los triángulos tienen 180º y para averiguar el ángulo restante, restas.

    thumb_up0 voto/sflag
    icon

    César
    el 18/3/18


    thumb_up0 voto/sflag
  • icon

    Alejandro Expósito
    el 18/3/18

    Si la tg∝=2 Calcula las razones trigonométricas

    Ayuda con el problema?

    replythumb_up0 voto/sflag
    icon

    Laura
    el 18/3/18

    Lo que tienes que hacer es sacar el ángulo de alfa con la arctg y después en el seno y el coseno sustituye alfa por el valor que te de 

    thumb_up0 voto/sflag
    icon

    César
    el 18/3/18


    thumb_up0 voto/sflag