
Hola Juan
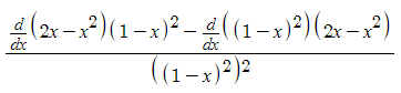
Como ya tienes la primera derivada de la expresión que te dan, lo único que tienes que hacer es volverla a derivar.
Para hacerlo puedes utilizar la regla del cociente.
Encuentras las derivadas que te piden.
Reemplazas los resultados anteriores en la regla del cociente.
Y finalmente hallas la segunda derivada.
Espero que te resulte útil.

Vamos con una forma alternativa.
Tienes la expresión de la función:
h(x) = x2/(1-x), multiplicas por -1 al numerador y al denominador, ordenas términos en el denominador, y queda:
h(x) = -x2/(x-1);
luego, efectúas la división (observa que puedes aplicar la Regla de Ruffini), y queda:
h(x) = -x - 1 -1/(x-1), expresas al último término como una potencia, y queda:
h(x) = -x - 1 - (x-1)-1,
que es la forma estándar de la expresión de la función.
Luego, planteas la expresión de la función derivada primera, y queda:
h ' (x) = -1 - 0 - (-1)*(x-1)-2*1, cancelas el términos nulo, resuelves el coeficiente en el último término, y queda:
h ' (x) = -1 + (x-1)-2,
que es la forma estándar de la expresión de la función derivada primera.
Luego, planteas la expresión de la función derivada segunda, y queda:
h '' (x) = 0 -(-2)*(x-1)-3, cancelas el término nulo, resuelves el coeficiente en el último término, y queda:
h '' (x) = 2*(x-1)-3,
que es la forma estándar de la expresión de la función derivada segunda.
Espero haberte ayudado.
Hola! Me ayudais con este problema?? Gracias !!
Halla el área limitada en el primer cuadrante por las gráficas de las funciones f(x) = sen x , g(x) = cos x y el eje de ordenadas.
Igualamos para obtener el punto de corte:
f(x)=g(x)
senx=cosx
x= π/4 + π*n
https://www.geogebra.org/m/uKQ9ZaF4
Recuerda que el eje de ordenadas es el eje Y
Entonces te queda este área en el 1er cuadrante (señalada con recuadritos verdes) para calcular :
Fórmula del área
Área=|a∫b[f(x)-g(x)]dx |
que aplicada a nuestro ejercicio es:
A= |0∫pi/4(senx-cosx)dx | =
| [-cosx-senx]0pi/4 | =
| (-cos(π/4)-sen(π/4)) - (-cos(0)-sen(0)) | =
sabemos por teoría que cos(π/4) = cos(45º) = sen(π/4) = sen(45º) = (√2)/2 , que cos(0º)=1 y que sen(0º)=0 , entonces:
= | (-cos(π/4)-sen(π/4)) - (-cos(0)-sen(0)) | =
| -(√2)/2 - (√2)/2 - (-1-0) |=
| -(√2)/2 - (√2)/2 +1 | =
| -(2√2)/2 +1 | =
| -√2 +1 | =
| -1.4142 +1 | =
| -0.4142 | =
0.4142 u2 = ÁREA LIMITADA en el primer cuadrante por las gráficas de las funciones f(x) = sen x , g(x) = cos x y el eje de ordenadas.
Halla el área limitada en el primer cuadrante por las gráficas de las funciones f(x) = sen x , g(x) = cos x y el eje de abcisas.
Observando el dibujo podríamos saber que va a ser el doble del área anterior, pero vamos a hacerlo:
A= |0∫pi/2(senx-cosx)dx | =
que se subdivide en dos integrales, desde cero hasta el punto de corte y desde el punto de corte de las funciones hasta el punto de corte en abcisas pi/2
A= |0∫pi/4(senx-cosx)dx | + |pi/4∫pi/2(senx-cosx)dx |=
| [-cosx-senx]0pi/4 | + | [-cosx-senx]pi/4pi/2 | =
| (-cos(π/2)-sen(π/2)) - (-cos(0)-sen(0)) | + |(-cos(π/2)-sen(π/2)) - (-cos(π/4)-sen(π/4))| =
sabemos por teoría que cos(π/4) = cos(45º) = sen(π/4) = sen(45º) = (√2)/2 , que cos(0º)=1 , que sen(0º)=0 ,
cos(π/2) = cos(90º) = 0 , sen(π/2) = sen(90º) = 1 , que cos(0º)=1 y que sen(0º)=0 , entonces:
= | (-cos(π/4)-sen(π/4)) - (-cos(0)-sen(0)) | + |(-cos(π/2)-sen(π/2)) - (-cos(π/4)-sen(π/4))| =
| -(√2)/2 - (√2)/2 - (-1-0) | + | -0 - 1 - ( (-√2)/2 -(√2)/2) |=
| (-√2)+1 | + | (√2)-1 |=
| -0.4142 | + | 0.4142 |=
0.4142 + 0.4142=
0.8284 u2 = ÁREA LIMITADA en el primer cuadrante por las gráficas de las funciones f(x) = sen x , g(x) = cos x y el eje de abcisas.
*Observa que con haber calculado un trozo y haberlo multiplicado por 2 (ya que son simétricos) hubieras obtenido el mismo resultado
-----------------
¿Puedo llegar también al resultado haciendo todas las cuentas con la calculadora??
Sí. Deberías obtener estos resultados aunque puede haber alguna diferencia de decimales.
Para calcular valores trigonométricos del tipo cos(π/4) ,sen(π/4) , cos(π/2), sen(π/2) se hace con radianes (en la calculadora tienes que darle a la tecla RAD previamente) y para los que sean cos(45º), sen(45º), cos(0º), sen(0º), sen(90º) ,cos(0º),sen(0º) se hace con grados (en la calculadora tienes que darle a la tecla DEG previamente)
Puedes utilizar el modo que te sea más fácil, pues obtendrás -1 por ejemplo tanto si en la calculadora pones cosπ en modo RAD como si pones cos90 en modo DEG
*DEGree significa grado en inglés.
**Creo que sobra decir que π radianes = 180 grados y a partir de ahí calcula cualquier medida de radianes a grados o viceversa.
hola buenas tardes espero que todos esten bien que Dios los Bendiga: bueno alguien podria ayudarme con eses ejercicios de calculo III, yo hice pero no se si esta bien... areas y volumenes.

Puedes subir tus resoluciones poco a poco y vamos viéndolas
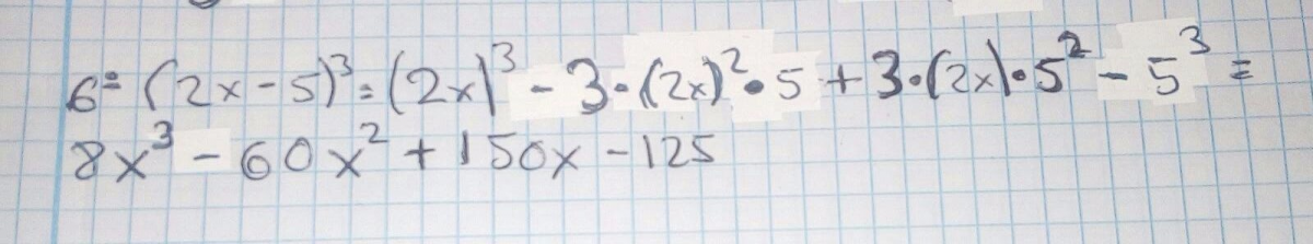
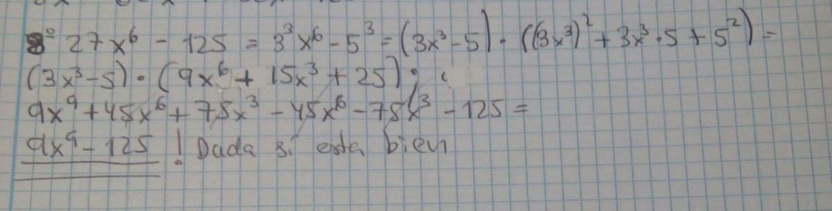
Formulas para RESTA DE BINOMIOS AL CUBO
Versión1(Antonio)----> (A-B)3= A3-3A2B+3AB2-B3
Versión2(la que utilicé)-----> (A-B)3= (A-B)*(A-B)*(A-B) = (A-B)*(A-B)2= (A-B)*(A2-2AB+B2)
Y ya eliges en función de la memoria que tú tengas: si tienes buena memoria, elige la Versión1 porque así lo harás más rápido...y si se te olvida en el día del exámen tira de la Versión2 porque no creo que se te olvide que algo al cubo es ese algo multiplicado tres veces por él mismo y que la resta de un binomio al cuadrado es la identidad notable (A-B)2= A2-2AB+B2
Obviamente obtienes el resultado de 8x3-60x2+150x-125 tanto con la Versión1 como con la Versión2.
---------------------------------------------------
**La fórmula que dices que venías siguiendo no es aplicable a este ejercicio, observa que es la de diferencia de cubos A3-B3, que es algo muy diferente a la resta de binomio al cubo (A-B)3