Foro de preguntas y respuestas de Matemáticas

logo beUnicoos
Los foros de unicoos se han unificado en nuestra nueva plataforma beUnicoos. Para dejar nuevas preguntas deberás hacerlo allí, donde además podrás encontrar nuevas asignaturas y herramientas para ayudarte más con tus estudios.

  • icon

    Adrian
    el 22/2/18

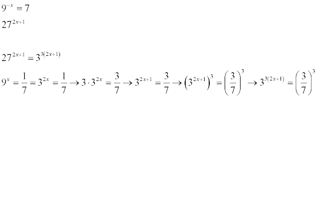
    Buenas tardes, esta bien resuelto ? Gracias 

    replythumb_up0 voto/sflag
    icon

    César
    el 22/2/18

    Correcto


    thumb_up1 voto/sflag
  • icon

    Sumi
    el 22/2/18

    Buenas tardes, tenía una duda sobre las integrales por partes, puesto que no sé que debo tomar como u y que debo tomar como dv.... en este caso por ej, por que no u es x al cuadrado y dv es lnx?  

    replythumb_up0 voto/sflag
    icon

    ALOFRE
    el 22/2/18

    Creo que debes tomarlo así: 


    Escoger adecuadamente u y dv:

    Una mala elección puede complicar más el integrando.

    Supongamos que tenemos un producto en el que uno de sus factores es un monomio (por ejemplo x3). Si consideramos dv = x3. Entonces, integrando tendremos que v = x4/4, con lo que hemos aumentado el grado del exponente y esto suele suponer un paso atrás.

    Normalmente, se escogen los monomios como u para reducir su exponente al derivarlos. Cuando el exponente es 0, el monomio es igual a 1 y el integrando es más fácil.

    Algo parecido ocurre con las fracciones (como 1/x). Si consideramos dv = 1/x, tendremos v = log|x| y, probablemente, obtendremos una integral más difícil.

    Como norma general, llamaremos u a las potencias y l

    thumb_up1 voto/sflag
    icon

    Sumi
    el 24/2/18

    muchas gracias:):):):):)

    thumb_up0 voto/sflag
  • icon

    Mr. científico
    el 22/2/18

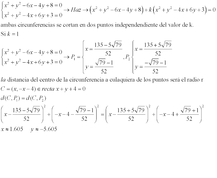
    Alguna ayudita con estos 2?



    replythumb_up0 voto/sflag
    icon

    César
    el 22/2/18


    thumb_up0 voto/sflag
  • icon

    Juan González
    el 22/2/18

    Me podéis decir un ejemplo de función cuadrática?

    replythumb_up0 voto/sflag
    icon

    Débora
    el 22/2/18

    por ejemplo x^2+x+1
    hay tres maneras de representarlas:  

    ax^2+bx+c (Polinomica)

    a(x-xv)^2 +yv (Canónica), donde xv es el x del vertice e yv y del vertice

    a(x-x1)(x-x2) (factorizada) donde x1 y x2 son raices.



    thumb_up0 voto/sflag
  • icon

    Lsslie
    el 22/2/18

    Hoola!! me podeis ayudar a estos limites por l'hopital porfavor ?? limite x→0 (cos2x)^3/x^2 y limite x→+1+2Inx+(Inx)^2 / x(1+Inx)   Gracias !!!

    replythumb_up0 voto/sflag
    icon

    César
    el 22/2/18


    thumb_up0 voto/sflag
  • icon

    Cristian Luque Mamani
    el 22/2/18

    hola UNICOOS por favor ayúdenme con éste ejercicio


    replythumb_up0 voto/sflag
    icon

    César
    el 22/2/18

    a)


    thumb_up0 voto/sflag
    icon

    César
    el 22/2/18


    thumb_up0 voto/sflag
  • icon

    Gabriel
    el 22/2/18

    Hola unicoos, tengo esta duda... muchas gracias de antemano 

    ∫(x+1)/(x^2-x+6)

    replythumb_up0 voto/sflag
    icon

    César
    el 22/2/18


    thumb_up0 voto/sflag
  • icon

    Jonatan Menna
    el 22/2/18

    Buenas noches, con respecto a este enunciado  Si p(x) ∈ ℛ(x), ¿Yo no puedo afirmar que puede existir un valor de k que sea imaginario, ya que no pertenece a ℂ(x)?

    replythumb_up0 voto/sflag
    icon

    Antonio Silvio Palmitano
    el 22/2/18

    Considera el polinomio:

    P(x) = (x - 1)^3.

    Observa que su grado es 3, y que tiene una sola raiz: x = 1 (cuya multiplicidad es 3).

    Por lo tanto, puedes concluir que la proposicion de tu enunciado es Falsa.

    Espero haberte ayudado.

    thumb_up0 voto/sflag
  • icon

    ISRAEL FARGAS
    el 22/2/18
    flag

    Una pregunta corta

    En geometría analítica R³ debería aprenderme las formulas de distancias (punto recta, punto plano) o usar otros métodos, por si existen casos en los que la fórmula no puede aplicarse (por algún enunciado raro por ejemplo)

    Gracias con antelación

    replythumb_up0 voto/sflag
    icon

    César
    el 22/2/18

    Me temo que si, son las herramientas necesarias para resolver los ejercicios.

    Aunque siempre podrás usar otros métodos.

    thumb_up1 voto/sflag
  • icon

    Zanubia Nufuri
    el 22/2/18

    Hola unicoos!
    Me podrán ayudar con los siguientes límites sin L'Hospital? Gracias por toda la ayuda!

    Lim--->0 (e^tgx -1)/tgx

    Lim--->0 ( 3x-arcsen x)/(3x+arctgx)

    lim--->0 (π -2arccos x)/x



    replythumb_up0 voto/sflag
    icon

    César
    el 22/2/18

    El último no lo veo ahora , estaré espeso


    thumb_up1 voto/sflag
    icon

    Antonius Benedictus
    el 22/2/18


    thumb_up2 voto/sflag