Foro de preguntas y respuestas de Matemáticas

logo beUnicoos
Los foros de unicoos se han unificado en nuestra nueva plataforma beUnicoos. Para dejar nuevas preguntas deberás hacerlo allí, donde además podrás encontrar nuevas asignaturas y herramientas para ayudarte más con tus estudios.

  • icon

    Álvaro
    el 22/2/18
    flag

    ¿Alguien  me ayuda con esto?

    replythumb_up0 voto/sflag
    icon

    Antonius Benedictus
    el 22/2/18


    thumb_up0 voto/sflag
  • icon

    Diego Gil
    el 22/2/18

    Hola, buenas tardes. El próximo lunes debo exponer el tema de distribución normal en mi clase, y, entre otras cosas, tengo que detallar en qué tipo de situaciones cotidianas se utiliza la distribución normal. Pueden ayudarme en este aspecto? También se agradecería mucho una guía para entender el tema, ya que sé aplicarlo en los ejercicios pero no sé explicarlo. Muchas gracias.

    replythumb_up0 voto/sflag
    icon

    Antonius Benedictus
    el 22/2/18


    thumb_up1 voto/sflag
  • icon

    Eva TC
    el 22/2/18

    Hola! Me podeis ayudar ha hacer este problema?

    La edad de un padre y de un hijo suman 125 años. Cuando el padre tenia la edad actual del hijo, las dos edades sumaban 75 años. Cuantos años tienen cada uno hoy?


    replythumb_up0 voto/sflag
    icon

    Antonio
    el 22/2/18
    flag

    El hijo tiene 50 años y el padre 75


    thumb_up0 voto/sflag

    Usuario eliminado
    el 22/2/18
    flag

    1.Estableces una letra para cada uno 

    Hijo=x

    Padre=y

    2.Planteas las ecuaciones 

    x+y=125

    y=75

    3.Resuelves 

    x=50

    y=75

    Espero haberte ayudado

    thumb_up0 voto/sflag
    icon

    Antonius Benedictus
    el 22/2/18


    thumb_up0 voto/sflag
  • icon

    Lsslie
    el 22/2/18

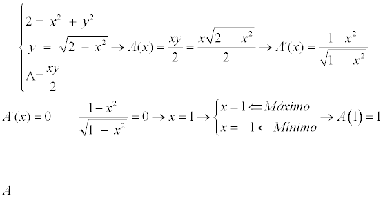
    Holaa unicoos,, ayudadme con este problema de optimizar porfaaa no consigo entenderlo: De entre todos los triángulos rectángulos inscritos en una semicircunferencia de radio 1 m, halla las dimensiones del que tiene área máxima. ¿Cual es esa área? Gracias !!!

    replythumb_up0 voto/sflag
    icon

    César
    el 23/2/18


    thumb_up0 voto/sflag
    icon

    Ángel
    el 23/2/18


    thumb_up0 voto/sflag
  • icon

    Tomas Roldan
    el 22/2/18

    5) Si an es convergente y an>0, determinar si las siguientes series son divergente, convergente o no se puede concluir nada.

    replythumb_up0 voto/sflag
    icon

    Antonius Benedictus
    el 22/2/18


    thumb_up0 voto/sflag
  • icon

    Tomas Roldan
    el 22/2/18

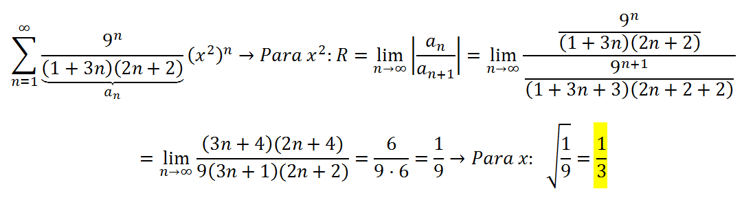
    4) Hallar radio de convergencia 

    replythumb_up0 voto/sflag
    icon

    Antonius Benedictus
    el 23/2/18


    thumb_up0 voto/sflag
  • icon

    Tomas Roldan
    el 22/2/18

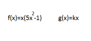
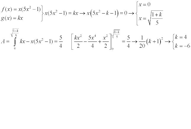
    3)Hallar k>0 tal que el area entre f(x) y g(x) sea 5/4, con x>0

    replythumb_up0 voto/sflag
    icon

    César
    el 22/2/18


    thumb_up0 voto/sflag
  • icon

    Tomas Roldan
    el 22/2/18

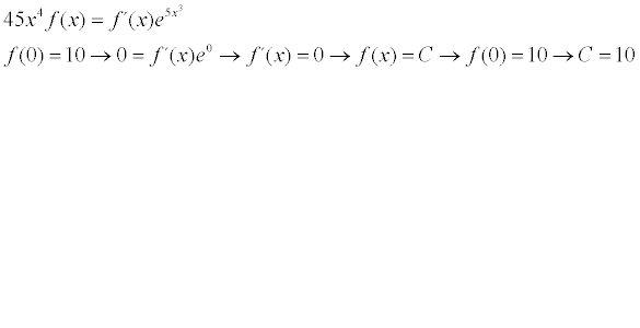
    2) Hallar Y,  tal que  f(0)=10

    replythumb_up0 voto/sflag
    icon

    Antonius Benedictus
    el 22/2/18

    Foto del enunciado original, Tomás.


    thumb_up0 voto/sflag
    icon

    César
    el 22/2/18

    Me da que nos es asi


    thumb_up0 voto/sflag
  • icon

    Tomas Roldan
    el 22/2/18

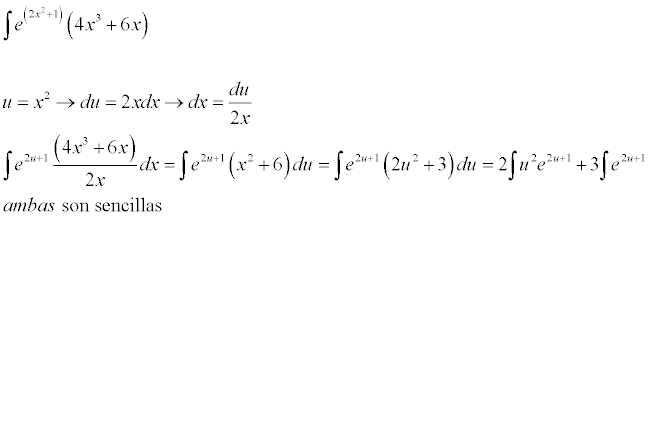
    Necesito ayuda con un par de ejercicios:

    1)

    replythumb_up0 voto/sflag
    icon

    César
    el 22/2/18


    thumb_up0 voto/sflag
  • icon

    Álvaro
    el 22/2/18

    Buenas tardes, no entiendo esto:

    Me podrían ayudar

    replythumb_up0 voto/sflag
    icon

    César
    el 22/2/18

    sin saber el enunciado lo tenemos regulín Alvaro


    thumb_up0 voto/sflag