
Tienes la ecuación de la superficie: x*y*z = 1,
que es una superficie de nivel de la función cuya expresión es:
f(x,y,z) = x*y*z, cuyo dominio es R3, y es diferenciable en todos los puntos de su dominio;
luego, planteas la expresión de su vector gradiente, y queda:
∇f(x,y,z) =
Luego, tienes que el punto en estudio: P0(a,b,c) pertenece a la superficie, por lo que reemplazas sus coordenadas en la ecuación correspondiente, y queda:
a*b*c = 1, aquí haces pasajes de factores como divisores, y queda: c = 1/(a*b) (1).
Luego, evalúas la expresión del gradiente para el punto en estudio, y queda: ∇f(a,b,c) = (2).
Luego, planteas que un vector normal del plano tangente en el punto en estudio es el vector cuya expresión es la expresión señalada (2) (recuerda que el gradiente de una función diferenciable es perpendicular a la superficie en todo punto), y con las coordenadas del punto en estudio, tienes la ecuación cartesiana implícita del plano:
b*c*(x - a) + a*c*(y - b) + a*b*(z - c) = 0,
distribuyes, ordenas términos, reduces términos semejantes, y queda:
b*c*x + a*c*y + a*b*z - 3*a*b*c = 0;
luego, sustituyes la expresión señalada (1), simplificas y queda:
(1/a)*x + (1/b)*y + a*b*z - 3 = 0 (2),
que es una ecuación cartesiana implícita del plano tangente a la superficie en el punto en estudio.
Luego, a fin de determinar los puntos de intersección entre el plano tangente y los ejes coordenados, anulas dos coordenadas y despejas la tercera en la ecuación del plano remarcada y señalada (2), y quedan los puntos:
A(3*a,0,0), B(0,3*b,0) y C( 0,0,3/(a*b) ).
Luego, planteas la expresión del área de la base del tetraedro (que suponemos corresponde a su cara incluida en el plano coordenado OXY), y queda:
Abase = |OA|*|OB|/2 = (3*a)*(3*b)/2 = 9*a*b/2 (3).
Luego, plantea la expresión de la altura del tetraedro (observa que es igual a la longitud de su arista incluida en el eje coordenado OZ), y queda:
h = |OC| = 3/(a*b) (4).
Luego, planteas la expresión del volumen del tetraedro, y queda:
V = (1/3)*Abase*h,
sustituyes las expresiones señaladas (3) (4), y queda:
V = (1/3)*(9*a*b/2)*( 3/(a*b) ),
simplificas, y queda:
V = 9/2,
que es una expresión que no depende de las coordenadas del punto en estudio.
Espero haberte ayudado.
Buenos días
¿Podría alguien orientarme acerca de estas ecuaciones diferenciales?
Quisiera saber qué método debo usar para resolverlas. He estado trabajando con ecuación diferencial característica y ecuaciones diferenciales lineales homogéneas, por si sirve de algo esta información
gracias de antemano

Recuerda que a una fila le puedes sumar un múltiplo escalar de otra fila.
Las operaciones sobre las dos primeras filas están bien hechas, pero debes corregir la operación sobre la tercera fila,
a la que le debes sumar la segunda fila multiplicada por 1/2 (en forma esquemática: F3+(1/2)F2).
Espero haberte ayudado.
Hola Unicoos!!
Como se resuelve los siguiente limites sin usar L'Hospital? Mil Gracias!!
lim--->0 (arcsenx-arctanx)/x^3
lim--->0 ln (1-x)sen 3x/x
lim--->0 (e^3x -e^x)//arctanx
Mas que una pregunta de matemática es sobre el contenido de matemática (no se donde mas ponerla). Por primera vez estoy en esta página y mañana pretendo comenzar con ustedes. Pregunta: Esto me llevara a poder adentrarme con temas como: Variable compleja, Análisis Matemático, lenguaje matematico, funciones holomorfa, etc. O ya esta en el contenido?
Muchas gracias.

¡Hola! Nos encantaría ayudarte, pero no solemos responder dudas universitarias que no tengan que ver específicamente con los vídeos que David Calle ha grabado como excepción. O de otras asignaturas que no sean Matemáticas, Física y Química. Lo sentimos de corazón… Esperamos que lo entiendas.
Ojalá algún unicoo universitario se anime a ayudarte (de hecho, lo ideal es que todos los universitarios intentarais ayudaros los unos a los otros).
También agradecemos la colaboración de estudiantes avanzados en la resolución de dudas de otros de niveles más bajos.

1)
Mantienes la segunda ecuación, sustituyes la expresión de sus segundo término en la primera ecuación, reduces términos semejantes, y queda:
-3y2 - 4z2 + 4 = 0,
x = y;
luego, multiplicas por -1 en todos los términos y haces pasaje de término en la primera ecuación, y queda:
3y2 + 4z2 = 4 (1),
x = y (2),
y observa que la primera ecuación corresponde a un cilindro elíptico con eje OX, y que la segunda ecuación corresponde a un plano que contiene al eje OZ;
luego, puedes proponer la parametrización:
y = t (observa que t debe tomar valores mayores o iguales que cero),
sustituyes en las ecuaciones señaladas (2) (3), y queda:
3t2 + 4z2 = 4, aquí haces pasaje de término, y luego de factor como divisor, y queda: z2 = (4 - 3t2)/4 (1*),
x = t;
luego, distribuyes el denominador y haces pasaje de potencia como raíz en la ecuación señalada (1*) (observa que elegimos la raíz positiva), y queda:
z = √(1 - 3t2/4);
luego, observa el argumento de la raíz cuadrada en la última ecuación remarcada, y tienes la condición:
1 - 3t2/4 ≥ 0, haces pasaje de término, y quueda:
-3t2/4 ≥ -1, multiplicas por -1/3 en ambos miembros (observa que cambia la desigualdad), y queda:
3t2/4 ≤ 1, haces pasajes de divisor como factor y de factor como divisor, luego de potencia como raíz (observa que elegimos la raíz positiva), y queda:
t ≤ √(4/3);
luego, con las ecuaciones remarcadas, tienes un sistema de ecuaciones cartesianas paramétricas para la curva:
x = t,
y = t,
z = √(1 - 3t2/4),
con 0 ≤ t ≤ √(4/3).
Esta es una forma para presentar ecuaciones que correspondan a la curva, y no es la única.
Espero haberte ayudado.
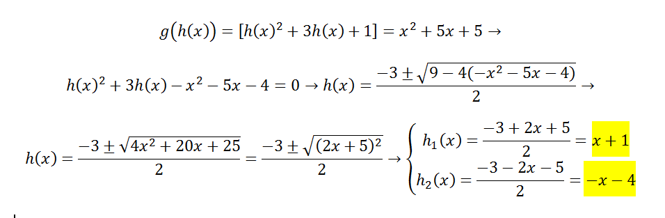
Buenas noches, tengo una duda con composicion compuesta o funcion compuesta, porque me dan la (g o h)(x) y g(x) y me piden determinar h(x) el ejercios que no comprendo dice: Sabiendo que (g o h)(x)= x2 + 5x + 5 y que g(x)=x2 + 3x + 1, determine h(x).
Me podrian ayudar en esto, muchas graciass

Creo que tu duda está mal formulada y considero que hay un error. Me explico según lo que he aprendido, ya los maestros me corrigirán si tengo algún equívoco:
Primero, una función es una aplicación que transforma un elemento de un conjunto en otro. Es decir, si tienes 1 que se transforma en a. Entonces tienes una función f(x) = x tal que si remplazo f(1) = a obtengo la transformación. Sin embargo, cuando la salida de la función f es pasada a otra función h, por ejemplo, pues ésta termina siendo una composición de f.
Segundo, la salida, por ejemplo, de la función f(x) = x + 1 se vuelve la entrada de otra otra h(x) = x2 + 3 lo que nos lleva a mapear (ó transformar) el valor del conjunto inicial con el conjunto final de forma que sea un proceso para llegar al valor final. Sin embargo, la composición de función nace de la pregunta: ¿Y cómo podemos llegar al valor final sin necesidad de pasar un proceso sino ir directamente? Esto es la composición de función tal que (h o f)(x) que es lo mismo a tener h(f(x)).
Tercero, cuando hemos encontrado la composición de la función h(f(x)) es porque vamos a tener un reemplazo de una correspondencia de fórmula dentro de la nueva función que sería (h o f)(x) = f(x)2 + 3. Por lo tanto, se reemplaza = (x + 1) 2 + 3.
Conclusión, la nueva función (h o f)(x) = (x + 1)2 + 3. Así vamos directamente a la imagen del conjunto final. Asi que, por favor, trata de ver si hay en h una función dada. Yo es que no la veo, no sé si otro la verá.
Saludos.