Buenas, me pueden ayudar con este problema: De entre todos los triángulos rectángulos inscritos en una semicircunferencia de radio 1 m, halla las dimensiones del que tiene área máxima. ¿Cual es esa área? Gracias !!!
como se haría está operación
(x+3)(x-3)-(x-2)2

Si se trata de desarrollar la expresión, comienza por tratar cada término por separado:
(x+3)*(x-3) = distribuyes = x*x - x*3 + 3*x -3*3 = cancelas términos opuestos = x*x -3*3 = resuelves multiplicaciones = x2 -9;
(x-2)2 = (x-2)*(x-2) = distribuyes = x*x-x*2-2*x+2*2 = reduces términos semejantes = x*x-4*x+2*2 = resuelves multiplicaciones = x2-4*x+4.
Luego, tienes la expresión de tu enunciado:
(x+3)*(x-3) - (x-2)2 = sustituyes las expresiones de los términos, y queda:
= (x2-9) - (x2-4*x+4) = distribuyes agrupamientos (observa que cambian todos los signos en el segundo agrupamiento), y queda:
= x2 - 9 - x2 + 4*x - 4 = cancelas términos opuestos, y queda:
= -9 + 4*x - 4 = reduces términos semejantes, y queda:
= 4*x - 13.
Espero haberte ayudado.
Buenos días, alguien me podría ayudar. He visto los vídeos de unicoos pero creo que el problema está en el no entiendo lo que me piden. Según lo que creo:
1° calculo la inversa, ya la tengo calculada
2° resuelvo el determinante
3° calculo el valor de "a"
Y a partir de aquí no se como seguir, de todos modos creo que lo estoy haciendi mal, no estoy segura. Si alguien me puede ayudar. Gracias de antemano![]()

Observa que tienes una matriz cuadrada de orden 3 y recuerda que su determinante debe ser distinto de cero para que a matriz admita matriz inversa.
Por lo tanto, tienes su determinante (observa que lo desarrollamos según su tercera fila):
|A| = 0*(-a - 2a) - a*(-a + 3a) -1*(-2 - 3); cancelas el término nulo, resuelves el segundo y el tercer término, y queda:
|A|= -2*a2 + 5.
Luego, plantea la condición de existencia de la matriz inversa:
|A| ≠ 0, sustituyes la expresión del determinante de la matriz, y queda:
-2*a2 + 5 = 0, haces pasaje de término, y queda:
-2*a2 = -5, haces pasaje de factor como divisor, y queda:
a2 = 5/2, multiplicas por 2 al numerador y al denominador del segundo miembro, y queda:
a2 = 10/4, haces pasaje de potencia como raíz, distribuyes la raíz, y tienes dos opciones:
a1 = -√(10)/2,
a2 = √(10)/2,.
Espero haberte ayudado.
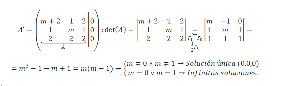
Buen día, alguna persona me podría ayudar con el sistema adjunto en la imagen
se lo debe resolver usando el álgebra de matrices

Observa que tienes un sistema homogéneo, por lo que es compatible para todo valor de m.
Luego, observa que el sistema tiene tres ecuaciones con tres incógnitas, por lo que planteas el determinante de la matriz del sistema, y queda:
|A| =
m+2 1 2
1 m 1
2 2 2;
desarrollas el determinante según su primera fila, y queda:
|A| = (m+2)*(2*m-2) - 1*(2-2) + 2*(2-2*m);
cancelas el segundo término nulo, distribuyes en los demás términos, y queda:
|A| = 2*m2 - 2*m + 4*m - 4 + 4 - 4*m;
cancelas términos opuestos, y queda:
|A| = 2*m2 - 2*m;
extraes factores comunes, y queda:
|A| = 2*m*(m - 1).
Luego, tienes tres casos:
a)
si 2*m = 0, de donde tienes: m = 0, entonces el rango de la matriz del sistema es 2, y como es distinto al número de incógnitas,
tienes que el sistema homogéneo es compatible indeterminado y admite infinitas soluciones;
b)
si m - 1 = 0, de donde tienes: m = 1, entonces el rango de la matriz del sistema es 2, y como es distinto al número de incógnitas,
tienes que el sistema homogéneo es compatible indeterminado y admite infinitas soluciones;
c)
si m ≠ 0 y m ≠ 1, entonces el rango de la matriz del sistema es 3, y como es igual al número de incógnitas,
tienes que el sistema homogéneo es compatible determinado y admite solución única.
Espero haberte ayudado.
Hola unicoos..
disculpad alguien me puede ayudar en un problema x fa
// (Algebra Lineal) Dada la función f(x), y sabiendo que f (1) = f (-1) y además f(0) = - 3 , halle los valores de a y b
( f(x) es un determinante 4x4 )
Muchas gracias de antemanos. Saludos

Puedes comenzar por desarrollar el determinante según su primera columna (observa que quedan cuatro términos y los dos últimos son nulos), y queda:
f(x) = = a*x3 - (-1)*(b*x2+ 3b-2a*x); distribuyes el segundo término, ordenas términos, y queda:
f(x) = a*x3 + b*x2 - 2a*x + 3b (1).
Luego, tienes los datos:
a)
f(1) = f(-1), sustituyes las expresiones evaluadas en ambos miembros de la ecuación, y queda:
a + b - 2a + 3b = -a + b + 2a + 3b, haces pasajes de términos, reduces términos semejantes (observa que tienes cancelaciones), y queda:
-2a = 0, haces pasaje de factor como divisor, y queda:
a = 0;
b)
f(0) = -3, sustituyes la expresión evaluada en el primer miembro, cancelas términos nulos, y queda:
3b = -3, haces pasaje de factor como divisor, y queda:
b = -1.
Luego, reemplazas los valores remarcados en la expresión de la función señalada (1), cancelas los términos nulos, y queda:
f(x) = -x2 - 3.
Espero haberte ayudado.
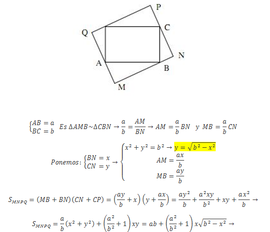
Si los lados de un rectángulo son a y b ,demostrar que el rectángulo más grande que puede construirse de manera que sus lados pasen por los vértices del rectángulo dado es un cuadrado de lado (a+b)/√2 . Ayuda porfavor ( Aplicación de las derivadas)
nota que las dos primeras ecuaciones cumplen la igualdad si sustituyes s={(x,y,z)}={(1,0,-2)} solo deras resolver la ultima ecuacion asi
-x+y+az=a2 -(-1)+0+(-2)a=a2
1-2a=a2
a2+2a-1=0 resuleves la ecuacion de segundo grado y encuentras los valores de a que harán que el sistema tenga esa solución y por ser única será compatible determinado
Buenas noches! necesito que me ayuden con al menos 2 o 3 de estos tipos de ejercicios de Newton . Desde ya muchas gracias!![]()

Recuerda la expresión del desarrollo de la potencia natural de un biniomio:
(a + b)n = ∑(k=0,n) C(n,k)*an-k*bk;
y observa que la expresión del término general de la sumatoria es:
Tk = C(n,k)*an-k*bk, con k ∈ N, 0 ≤ k ≤ n y para el término central tienes el índice: k = n/2.
a)
Tienes para este desarrollo:
a = -y2 = -1*y2,
b = 1/2y3 = (1/2)*y-3,
n = 12,
y para el término central tienes el índice: k = 12/2 = 6;
luego, sustituyes en la expresión del término general, y queda:
T6 = C(12,6)*(-1*y2)12-6*( (1/2)*y-3 )6, resuelves exponentes de potencias, y queda:
T6 = C(12,6)*(-1)6*y12*(1/26)*y-18, reduces factores semejantes, reduces factores numéricos, ordenas factores, y queda:
T6 = C(12,6)*(1/26)*y-6.
b)
Tienes para este desarrollo:
a = 2*y3,
b = -1/y2 = -1*y-2,
n = 12,
y para el término central tienes el índice: k = 12/2 = 6;
luego, sustituyes en la expresión del término general, y queda:
T6 = C(12,6)*( 2*y3)12-6*(-1*y-2)6, resuelves exponentes de potencias, y queda:
T6 = C(12,6)*26*y18*(-1)6*y-12, reduces factores semejantes, reduces factores numéricos, ordenas factores, y queda:
T6 = C(12,6)*26*y6.
Luego, para los desarrollos con exponente par, tienes que las tareas son similares.
c)
Tienes para este desarrollo:
a = x3,
b = -1/x = -1*x-1,
n = 11,
y para el término central tienes el índice: k = 11/2 = 5,5, por lo que tienes dos índices centrales: k = 5 y k = 6;
luego, sustituyes en la expresión del término general, y queda para el primer término central:
T5 = C(11,5)*(x3)11-5*(-1*x-1)5, resuelves exponentes de potencias, y queda:
T5 = C(11,5)*x18*(-1)5*x-5, reduces factores semejantes, reduces factores numéricos, ordenas factores, y queda:
T5 = -C(11,5)*x13;
luego, sustituyes en la expresión del término general, y queda para el segundo término central:
T6 = C(11,6)*(x3)11-6*(-1*x-1)6, resuelves exponentes de potencias, y queda:
T6 = C(11,6)*x15*(-1)6*x-6, reduces factores semejantes, reduces factores numéricos, ordenas factores, y queda:
T6 = C(11,6)*x9.
Haz el intento de terminar la tarea y, si te resulta necesario, no dudes en volver a consultar.
Espero haberte ayudado.