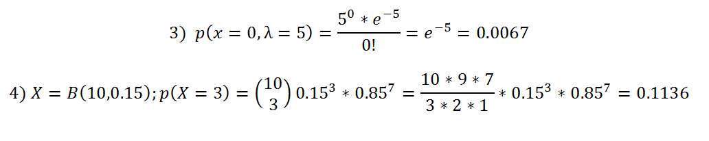
Buenas noches , haber si alguien me puede ayudar con este problemita de algebra lineal.
Sea Π el plano de ecuación [(x,y,z)−(1,2,−1)]·(2,−1,3) = 0.
a) Elegí dos puntos distintos que estén en el plano Π y calculá la distancia entre ellos.
b) Dado el punto P = (1,2,−1) de Π encontrá otro punto de Π de manera que su distancia a P sea 18.
la verdad que el punto b) no logro resolverlo .
Desde ya muchisimas gracias

Tienes la ecuación vectorial del plano:
(<x,y,z> - <1,2,-1>)•<2,-1,3> = 0, resuelves la resta entre expresiones vectoriales en el primer factor, y queda:
<x-1,y-2,z+1>•<2,-1,3> = 0, desarrollas el producto escalar entre expresiones vectoriales, y queda:
2(x-1) - 1(y-2) + 3(z+1) = 0, distribuyes, reduces términos numéricos, y queda:
2x - y + 3z + 3 = 0, que es una ecuación cartesiana implícita del plano;
luego, haces pasajes de términos, y queda:
-y = -2x - 3z - 3, multiplicas por -1 en todos los términos de la ecuación, y queda:
y = 2x + 3z + 3 (*), que es una ecuación cartesiana explícita del plano;
luego, considera un punto genérico del plano: A(x,y,z),
reemplazas su ordenada según la ecuación explícita del plano, y queda:
A(x,2x+3z+3,z), que s la expresión general de un punto perteneciente al plano.
Luego, planteas la expresión de la distancia entre el punto P y el punto genérico A, y queda:
d(P,A) = 18, sustituyes la expresión de la distancia en el primer miembro, y queda:
√( (x - 1)2 + (2x+3z+3 - 2)2 + (z + 1)2 ) = 18,
haces pasaje de raíz como potencia, reduces términos semejantes en el segundo agrupamiento, y queda:
(x - 1)2 + (2x + 3z + 1)2 + (z + 1)2 = 324;
luego, puedes asignar una valor conveniente a una de las dos coordenadas del punto, por ejemplo: z = -1;
luego, reemplazas, cancelas el término nulo, reduces términos numéricos en el segundo agrupamiento, y queda:
(x - 1)2 + (2x - 2)2 = 324;
desarrollas los binomios elevados al cuadrado, y queda:
x2 - 2x + 1 + 4x2 - 8x + 4 = 324;
haces pasaje de término, reduces términos semejantes, ordenas términos, y queda:
5x2 - 10x - 319 = 0,
que es una ecuación polinómica cuadrática, cuyas soluciones son:
1°)
x = ( 10-√(6480) )/10 = ( 10-2√(1620) )/10 = 1-√(1620)/5,
reemplazas los valores remarcados en la ecuación cartesiana explícita del plano señalada (*), y queda:
y = 2(1-√(1620)/5) + 3(-1) + 3 = 2-2√(1620)/5;
y con los valores remarcados, tienes las coordenadas de un primer punto que cumple las condiciones de tu enunciado:
A1( 1-√(1620)/5 , 2-2√(1620)/5 , -1 );
2°)
x = ( 10+√(6480) )/10 = ( 10+2√(1620) )/10 = 1+√(1620)/5,
reemplazas los valores remarcados en la ecuación cartesiana explícita del plano señalada (*), y queda:
y = 2(1+√(1620)/5) + 3(-1) + 3 = 2+2√(1620)/5;
y con los valores remarcados, tienes las coordenadas de un segundo punto que cumple las condiciones de tu enunciado:
A2( 1+√(1620)/5 , 2+2√(1620)/5 , -1 ).
Espero haberte ayudado.
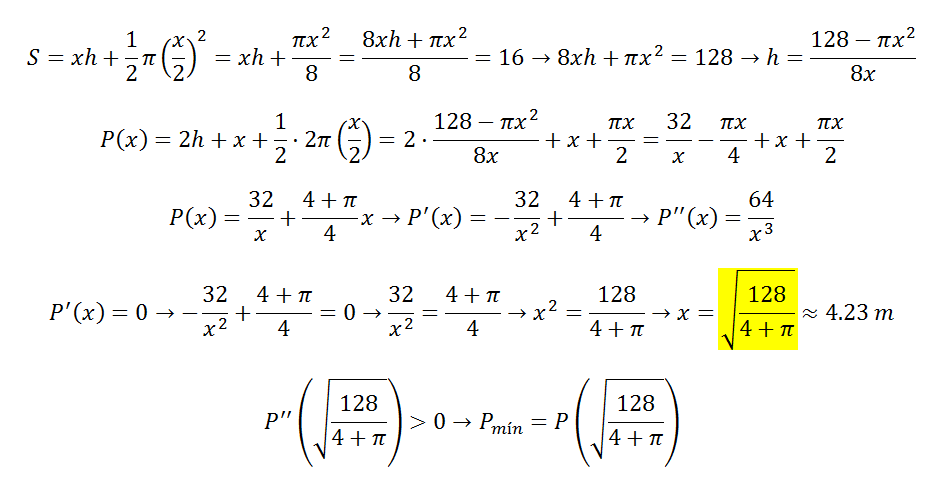
Buenas noches, sé que no debo mandar ejercicios pero a pesar de verme los vídeos no tengo ni idea de resolver este ejercicio. Gracias

Observa que el radio de la semicircunferencia es: r = x/2 (*), y que su longitud es: L1 = π*r = π*(x/2) = (π/2)*x (0).
Luego, expresas al perímetro de la puerta como la suma de una base y dos alturas de la porción rectangular más la longitud de la semicircunferencia, y queda:
P = x + 2*y + (π/2)*x (1).
Luego, plantea el área del semicírculo superior: A1 = (1/2)*π*r2 = (1/2)*π*(x/2)2 = (1/2)*π*x2/4 = (π/8)*x2;
luego, plantea el área de la porción rectangular: A2 = x*y;
luego, plantea la expresión del área total de la puerta:
A1 + A2 = A, sustituyes expresiones, y queda:
(π/8)*x2 + x*y = 16 (en m2), multiplicas por 8 en todos los términos, y queda:
π*x2 + 8*x*y = 128, haces pasaje de término, y queda:
8*x*y = 128 - π*x2, divides en todos los términos de la ecuación por 8*x, simplificas, y queda:
y = 16/x - (π/8)*x (2).
Luego, sustituyes la expresión señalada (2) en la expresión del perímetro señalada (1), y queda:
P = x + 2*(16/x - (π/8)*x) + (π/2)*x, distribuyes el segundo término, y queda:
P = x + 32/x - (π/4)*x + (π/2)*x, ordenas términos, reduces términos semejantes, extraes factor común entre los términos lineales, y queda:
P = (1+π/4)*x + 32/x (3),
que es la expresión del perímetro de la puerta, como función de la longitud de su base,
y observa que el dominio de la función es: D = (0,+∞).
Luego, planteas la expresión de las funciones derivadas primera y segunda, y queda:
P ' = 1+π/4 - 32/x2 (4),
P ' ' = 64/x3 (5),
y observa que están definidas en todo el dominio de la función perímetro.
Luego, planteas la condición de punto crítico (posible máximo o posible mínimo):
P ' = 0, sustituyes la expresión señalada (4) en el primer miembro, y queda:
1+π/4 - 32/x2 = 0, haces pasaje de término, y queda:
1+π/4 = 32/x2, multiplicas en todos los términos de la ecuación por 4, y queda:
4+π = 128/x2, haces pasaje de divisor como factor, y queda:
(4+π)*x2 = 128, haces pasaje de factor como divisor, y queda:
x2 = 128/(4+π), haces pasaje de potencia como raíz, y queda (observa que elegimos la solución positiva):
x = √( 128/(4+π) ), que es la longitud crítica de la base de la puerta;
luego, evalúas la expresión de la función derivada segunda señalada (5) para el valor crítico remarcado (te dejo el cálculo),
y observa que la función derivada segunda toma valor positivo, por lo que tienes que la gráfica de la función perímetro es cóncava hacia arriba para este valor crítico,
y puedes concluir que el perímetro es mínimo para este valor;
luego, reemplazas en la expresión de la función perímetro señalada (3), y tienes el valor del perímetro mínimo (te dejo la tarea);
luego, reemplazas el valor remarcado en las expresiones señaladas (*) (0) (1) y tienes los valores del radio de la porción semicircular de la puerta, de la longitud de su borde, y de la altura de la porción rectangular (te dejo la tarea).
Espero haberte ayudado.
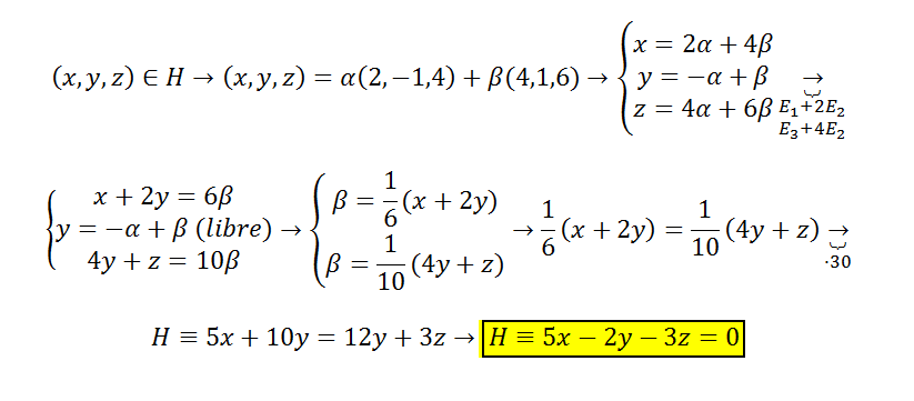
Buenas tardes, en el ejercicio 4)a Lo que intente hacer fue hacer un sistema de ecuaciones hallando los (x,y,z) formados por la combinación lineal de los vectores dados. El sistema me dio incompatible, pero no estoy seguro si esa es la manera correcta de hacer el ejercicio. Gracias por su tiempo.