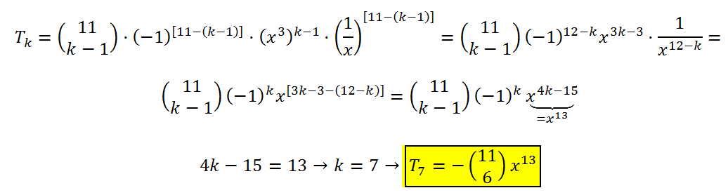
Buenas! Necesitaría que me brinden ayuda en este ejercicio donde me pide calcular el termino que contenga y^-18 . En este caso k=-18? Como se resuelve o el término no existe? Desde ya muchísimas grácias!!!

Recuerda la expresión del desarrollo de una potencia con exponente natural de un binomio:
(a + b)n = ∑(k=0,n) C(n,k)*an-k*bk,
y el término general de la sumatoria tiene la expresión:
Tk = C(n,k)*an-k*bk, con k ∈ N, 0 ≤ k ≤ n.
Luego, tienes en tu ejercicio:
a = 2x3/y4 = 2x3y-4,
b = -y/x3 = -1x-3y,
n = 12.
Luego, sustituyes en la expresión del término general, y queda:
Tk = C(12,k)*(2x3y-4)12-k*(-1x-3y)k, con k ∈ N, 0 ≤ k ≤ 12;
luego, distribuyes potencias en los dos últimos factores, aplicas la propiedad de las potencias cuyas bases son otras potencias, y queda:
Tk = C(12,k)*212-k*x3*(12-k)*y-4*(12-k)*(-1)k*x-3k*yk;
luego, ordenas factores, reduces factores con bases iguales, resuelves exponentes, y queda:
Tk = (-1)k*C(12,k)*212-k*x36-6k*y-48+5k, con k ∈ N, 0 ≤ k ≤ 12,
que es la expresión del término general de la sumatoria para este ejercicio.
a)
Para investigar si existe un término con exponente -28 para el factor con base y, igualas el exponente general al exponente de tu enunciado para y, y queda:
-48 + 5k = -28, haces pasaje de término, y queda: 5k = 20, haces pasaje de factor como divisor,y queda:
k = 4, que es un número natural válido para el desarrollo de tu ejercicio;
luego, reemplazas en la expresión del término general, y queda:
T4 = (-1)4*C(12,4)*212-4*x36-6*4*y-48+5*4= 1*495*256*x12*y-28 = 126720*x12*y-28.
b)
Observa que como cuentas los índices desde cero, tienes que al séptimo término le corresponde el índice k = 6;
luego, reemplazas en la expresión del término general, y queda:
T6 = (-1)6*C(12,6)*212-6*x36-6*6*y-48+5*6 = 1*924*64*x0*y-18 = 59136*1*y-18 = 59136*y-18.
Espero haberte ayudado.
¡Hola! ¿Alguien podría pasarme una guía de ejercicios de estudio de continuidad y discontinuidad de funciones a trozos? Le estaría muy agradecida.
Hola Unicoos, me ayudan con este problema:
A, B y C son tres amigos. A le dice a B: Si te doy la tercera parte de mi dinero, los tres tendremos la misma cantidad. Calcula lo que tiene cada uno si entre los tres tienen 60€.
Y entonces planteo que:
"Entre los tres tienen 60€" ---> A+B+C=60
"Si te doy la tercera parte de mi dinero, los tres tendremos la misma cantidad" -----> A - A/3 = B ; y ésta es la frase que no sé plantear porque a mí me sale así. Me lo podrían explicar?
Muchas gracias.

Has comenzado muy bien.
Has planteado:
A + B + C = 60 (entre todos los amigos tienen 60 euros);
luego, debes corregir:
A - A/3 = B + A/3 (el primer amigo ha descontado A/3 euros y el segundo ha sumado dicha cantidad, y han quedado igualadas sus cantidades finales);
A - A/3 = C (el primer amigo ha descontado A/3 euros, y su cantidad ha quedado igualada a la del tercer amigo).
Luego, tienes el sistema de ecuaciones (observa que hacemos pasajes de términos y reducciones de términos semejantes en las ecuaciones):
A + B + C = 60
A/3 = B,
2A/3 = C;
luego, sustituyes las dos últimas expresiones en la primera ecuación, reduces términos semejantes, y el sistema queda:
2A = 60, aquí haces pasaje de factor como divisor, y queda: A = 30 euros,
A/3 = B,
2A/3 = C;
luego, reemplazas el valor remarcado en las dos últimas ecuaciones, resuelves, y queda:
10 euros = B,
20 euros = C.
Espero haberte ayudado.
Holaa
Quería saber cómo se hallado último paso,es decir cómo sabe que el punto del mínimo es (0,0) y máximo (2,4)
Gracias