Espero quedan ayudarme con este problema de geometría en el espacio:
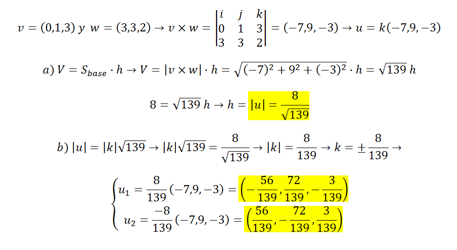
Un paralelepípedo tiene volumen 8 y los vectores de la base son v=(0,1,3) y w=(3,3,2). Se sabe que el vector u está en una dirección perpendicular a la base. Se pide:
a) ¿Cuál es el módulo de u?
b) Hallar el vector u. ¿Cuántas soluciones hay?
Gracias!!
Hola, me pueden ayudar con este problema por favor:
El costo variable de producir cierto artículo es de $0.90 por unidad, y los costos fijos son de $240.0 al día. El artículo se vende por $1.20 cada uno. ¿Cuántos artículos deberá producir y vender para que no haya ganacias ni pérdidas?
Gracias.

Te ayudo con las expresiones de los argumentos en los dos primeros ejercicios:
a)
factorizas los denominadores, y la expresión queda:
f(x) = 1 / (x+1)(x-1) - 1 / (x-1)(x2+x+1), extraes denominador común, y queda:
f(x) = ( x2+x+1 - (x+1) ) / (x+1)(x-1)(x2+x+1),
distribuyes el último término en el numerador, reduces términos semejantes (observa que tienes cancelaciones), y queda:
f(x) = x2 / (x+1)(x-1)(x2+x+1),
y luego puedes tomar el límite, y verás que es infinito, porque el numerador tiende a 1 y el denominador tiende a 0;
b)
factorizas el denominador en el segundo término, y la expresión queda:
g(x) = 1/(x-2) - (2+2x-x2) / x(x-2), extraes denominador común, y queda:
g(x) = ( x - (2+2x-x2) ) / x(x-2), distribuyes en el segundo término en el numerador, reduces términos semejantes, y queda:
g(x) = (x2-x-2) / x(x-2), factorizas el numerador (observa que es una expresión polinómica cuadrática, cuyas raíces son -1 y 2), y queda:
g(x) = (x+1)(x-2) / x(x-2), simplificas, y queda:
g(x) = (x+1)/x,
y luego puedes tomar el límite, y verás que es igual a 3/2.
c)
Puedes plantear:
L = lím(x→2+) ( 1/(x2-4) )1/(x+2),
observa que el exponente tiende a 1/4,
observa que el denominador de la base del argumento tiende a 0 desde valores positivos,
por lo tanto tienes que la base del argumento tiende a +infinito,
y como el exponente es un número real mayor que cero, tienes que el límite es +infinito.
Espero haberte ayudado.
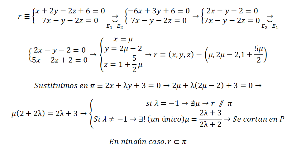
Hola chicos, os dejo una foto con el plano y la recta.
a la pregunta "Para algún valor de λ la recta está contenida en el plano? Justifica la respuesta" podría responder...
sustituyendo el punto que he sacado de la recta (0,-2,-1) en el plano y así sacar un valor de λ?
Lo he hecho y he obtenido que para λ=-3/-2 la recta estaría contenida en el plano.
Sin embargo la solución del ejercicio me dice que no hay ningún valor. POR QUÉ?????
Gracias por vuestra ayuda
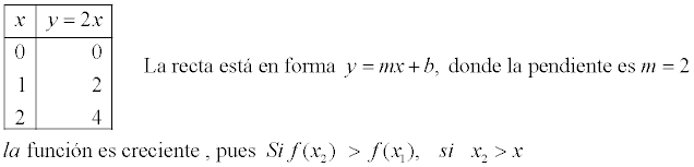
Hola, ¿me podrías ayudar con este ejercicio?: Halla la pendiente, estudia el crecimiento y dibuja la gráfica de esta función: y=2x. ¡Gracias!
La pendiente es siempre el valor que acompaña a la X cuando la Y está despejada. Por lo que a tu función y=2x tu pendiente es 2
Para dibujarla sólo tienes que hacer una tabla de valores. Darás a "x" los valores que quieras y así obtendrás su correspondencia en "y". Cuando los tengas pintarás coordenadas, que unidas te dará la recta.
https://www.youtube.com/watch?v=hkLnRAgdQ-0 Este video te ayudará.