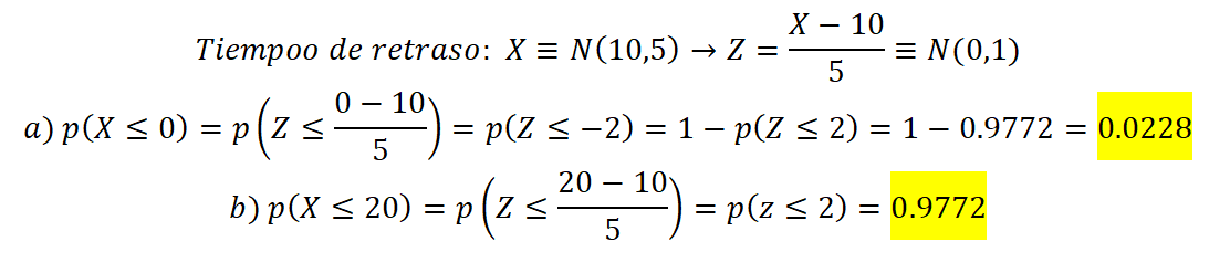
la compania aerea "aviacion" sabe que el tiempo de retraso de sus vuelos sigue una ley normal, con un retraso medio de 10 minutos y desvio de 5 minutos. calcular:
a) la probabilidad de que un vuelo no tenga retraso
b) la probabilidad de que el proximo vuelo llegue con no mas de 20 minutos de retraso
Hola Unicoos
Me ayudan a detectar el error, tendría que hacer los determinantes de 4×3 o puedo coger la matriz que queda de hacer Gauss para la solución?
Si me van a poner el programa automático que resuelve en internet, no me respondan porque no me ayuda nada eso.
Muchísimas gracias
Tengo un ejercicio de coordenadaas polares, algun video explicativo que me pueda ayudar?????

Me encantaría ayudarte, pero no respondo dudas universitarias que no tengan que ver específicamente con los videos que ya he grabado como excepcion. O de otras asignaturas que no sean matemáticas, física y química. Lo siento de corazón… Espero lo entiendas
Ojalá algun unicoo universitario se anime a ayudarte (de hecho lo ideal es que todos los universitarios intentarais ayudaros los unos a los otros)
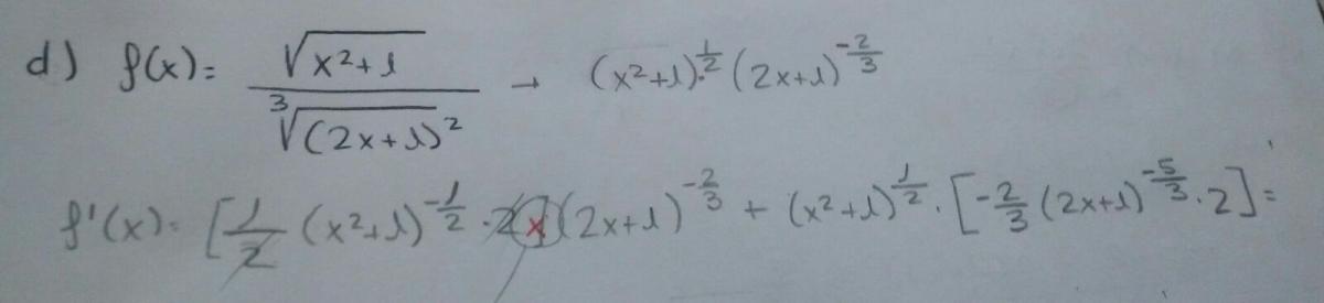
No quiero saber la solución, solo si lo he planteado bien.
L'empresa X fabrica calaixeres, taules i cadires i dedica a aquesta tasca concretament 120 hores diaries. Cada caleixera es ven a 400 euros i necessita 4 hores de producció. En canvi, la taula es ven a 200 euros i requereix dos hores de producció, les mateixes hores que la cadira, que es ven a 50 euros. A més,per cada taula produida s'han de fabricar cuatre cadires-.Determineu la producció que permet obtenir uns ingressos diaris de 6000 euros.
calaixera---x taula---y cadira---z
4x+2y+2z=120
400x+200y+50y=6000
y=4z
Voy a iniciar desde lo más básico quisiera que me indicaran porfavor consejos
No sé el proceso que es mejor ni el recomendado por los profesionales de la pedagogía, yo creo que fui más o menos aprendiendo por este orden en primaria:
Saber nombrar cifras
Ejemplo: 159.657.893 : Ciento cincuenta y nueve millones seiscientos cincuenta y siete mil ochocientos noventa y tres
Operaciones combinadas con suma, resta, paréntesis, corchetes, llaves
Dividir y tablas de multiplicar de cabeza y a mano
Mínimo común múltiplo y máximo común divisor
"Escalerita" de kilos, litros... 1gramo =10 decigramos=100 centigramos= 1000 miligramos ; 1 kilo= 10 hectogramos= 100 decigramos=1000 gramos
Ecuaciones de 1er grado. Ej: 12x+4=5 ----> 12*x= 5-4 ---> 12*x= 1 ----> x= 1/12
A partir secundaria (de 1º de ESO en adelante), con tu práctica, tu libro de texto y los vídeos de Unicoos está chupao.
Las dudas que te vayan surgiendo nos las vas comentando (y nos mandas una foto con lo que has hecho).