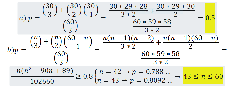
hola, mi porofe no ha sabido decirme :(
Que vale limx→ - ∞ x^x ?????
Hola.
Queria saber si me podian ayudar con este ejercicio de transformaciones lineales.
El ejercicio me dice que Q es una transformacion que va de R4 a R4, me dicen que es un isomorfismo. y me pide hallar la inversa de esa transformacion lineal y me dan los siguientes datos:
Q (0,2,2,1) = (1,0,0,0)
Q(1,3,-1,0) = (0,1,0,0)
Q(2,1,0,0) = (0,0,1,0)
Q(0,1,1,3) = (0,0,0,1)
Luego de muchos calculos, pude hallar la transformacion lineal asociada que me quedo.
Q(x,y,z,w) = ( -3/35 x + 6/35 y + 3/7 z - 1/5 w , -1/7 x + 2/7 y - 2/7 z , 4/7 x - 1/7 y + 1/7 z , 1/35 x - 2/35 y - 1/7 z + 2/5 w)
Ahora el problema es que tengo que hallar la inversa...y por el metodo que estoy utilizando, que consiste en utilizar nuevos valores a,b,c,d y que todos estos terminos de la transformacion me quede en funcion de a,b,cd...no estoy consiguiendo resultados, son calculos interminables y queria saber si habia una manera mas facil de hacerlo o mas simple.
Por determinantes, tendria que hallar la matriz asociada y luego el cofactor de cada uno de los elementos para luego dividirlo por determinante ,etc...Tambien es larguisimo..
Por eso mi pregunta va dirigida a que si no hay algo que se me esta escapando, porque es un ejercicio de parcial y los parciales no duran tanto y con este ejercicio ya voy horas.

Fíjate que las imágenes de la base de partida son los vectores de la base canónica. Entonces, dándole la vuelta, las imágenes de la base canónica, por la transformación inversa son los vectores dados. Entonces, la matriz pedida tiene por columnas:
1ª columna: 0,2,2,1
2ª columna: 1, 3, -1, 0
etc.
Hola!,
Les traigo una consulta ya que lo repense muchas veces y no he conseguido terminar de resolverlo, me dan la formula de un plano que dice TT=-x+2y+z=4 . Hallar los vertices de un triangulo rectangulo que pertenezca al plano.
Lo que plantee fue dar valores a x e y al plano y sacar z de la formula del plano, encontrando asi 2 puntos para construir una recta, la cual luego con su vector director mediante el producto punto hallo un vector director que me cumpla que usando el producto punto de 0 y garantizar que sean perpendiculares.
Luego me pierdo en razonamientos pero estoy perdiendo de vista los puntos y no se si voy bien y como continuar para cerrar el triangulo. Por favor si me pueden hechar un poco de luz mas que agradecida.
Saludos cordiales y gracias por su tiempo!
transcribo mis resoluciones
Calculo punto A, doy valores a X e Y averiguo Z
x=0
Y=1
z=?
-x+2y+z=4
-0+2.1+z=4
z=2
A=(0,1,2)
Punto B
x=1
y=0
z=?
-x+2y+z=4
-1+2.0+z=4
z=5
B=(1,0,5)
AB(vector)=(1,0,5)-(0,12)=(1,-1,3)
Recta 1= α(1,-1,3)+(0,1,2)
Como debe ser perpendicular una recta que corte a esta en 90º el producto punto debe dar 0
Doy valores al vector director de la 2da recta y averiguo cuando cumple que de 0
x=1,
y=1,
(1,-1,3).(1,1,x)=0
1-1+3x=0
x=0

Vamos con una orientación.
Observa que un vector normal del plano que tienes en tu enunciado es: nΠ = <-1,2,1>.
Vienes muy bien con la recta R1, su punto de referencia A(0,1,2) y su vector director: u1 = <1,-1,3>.
Luego, puedes plantear la ecuación de un plano (Φ) que pase por el punto A y que sea perpendicular al plano Π, por lo que puedes considerar que el vector u1 es un vector normal a este nuevo plano, y su ecuación cartesiana implícita (te dejo la tarea de plantearla) queda:
x - y + 3z = 5, y observa que un vector normal a él es: nΦ = <1,-1,3>.
Luego, considera la recta R2, que pasa por el punto A es la intersección entre los planos Π y Φ, y observa que puedes plantear que un vector director para ella es el producto vectorial entre los vectores normales a los planos:
u2 = nΠ x nΦ = <-1,2,1> x <1,-1,3> = <7,4,-1>;
y luego, tienes que su ecuación vectorial paramétrica queda:
<x,y,<> = β<7,4,-1> + <0,1,2>.a
Luego, tienes que las dos rectas son perpendiculares, y debes elegir un punto distinto del punto A en cada una de ellas, que serán los extremos de la hipotenusa del triángulo rectángulo.
Haz el intento de terminar la tarea y, si te resulta necesario, no dudes en volver a consultar.
Espero haberte ayudado.