
Tienes varias erratas en el desarrollo.
Comienza con la matriz ampliada del sistema:
1 3 k 1
1 7 k 1
k 1 3 2
A la fila 2 le restas la fila 1, a la fila 3 le restas la fila 1 multiplicada por k, y queda:
1 3 k 1
0 4 0 0
0 1-3k 3-k2 2-k
A la fila 2 la divides por 4, y queda:
1 3 k 1
0 1 0 0
0 1-3k 3-k2 2-k
A la fila 1 le restas la fila 2 multiplicada por 3, a la fila 3 le restas la fila 2 multiplicada por 1-3k, y queda:
1 0 k 1
0 1 0 0
0 0 3-k2 2-k.
Luego, observa que tienes una matriz escalonada, por lo que puedes considerar primero los dos casos que corresponden a los valores del parámetro k que anulan al tercer elemento de la tercera fila, y luego a los demás valores:
1)
k = √(3), reemplazas en la matriz escalonada, y queda:
1 0 √(3) 1
0 1 0 0
0 0 0 2-√(3),
y observa que el rango de la matriz del sistema es 2, y que el rango de la matriz ampliada es 3, por lo que el sistema resulta incompatible en este caso;
2)
k = -√(3), reemplazas en la matriz escalonada, y queda:
1 0 -√(3) 1
0 1 0 0
0 0 0 2+√(3),
y observa que el rango de la matriz del sistema es 2, y que el rango de la matriz ampliada es 3, por lo que el sistema resulta incompatible en este caso.
3)
Si k ≠ √(3) y k ≠ -√(3),
divides a la tercera fila por 3-k2, y la matriz escalonada queda:
1 0 k 1
0 1 0 0
0 0 1 (2-k)/(3-k2);
luego, a la fila 1 le restas la fila 3 multiplicada por k, y queda:
1 0 0 1-k*(2-k)/(3-k2)
0 1 0 0
0 0 1 (2-k)/(3-k2);
y tienes que el rango de la matriz del sistema es 3, al igual que el rango de la matriz ampliada y que el número de incógnitas, por lo que en estos casos el sistema es compatible determinado y tiene soluciones únicas, que quedan expresadas:
x = 1-k*(2-k)/(3-k2),
y = 0,
z = (2-k)/(3-k2).
Espero haberte ayudado.
Muy buenas a todos Unicoos. Alguien me puede dar un cable con este problemilla? A+b=((3,2),(7,0)), B-A=((2,3),(-1,0)). Cuanto vale A^2+B^2?

1)
Plantea la suma de las matrices:
(A+B) + (B-A) = A+B+B-A = 2B =
5 5
6 0;
luego, divides por 2 en todos los elementos, y tienes:
B =
5/2 5/2
3 0.
2)
Plantea la resta de las matrices:
(A+B) - (B-A) = A+B-B+A = 2A =
1 -1
8 0;
luego, divides por 2 en todos los elementos, y tienes:
A =
1/2 -1/2
4 0.
3)
Planteas el cuadrado de la matriz B, y queda:
B2 = B*B =
5/2 5/2 5/2 5/2 55/4 25/4
3 0 * 3 0 = 15/2 15/2.
4)
Planteas el cuadrado de la matriz A, y queda:
A2 = A*A =
1/2 -1/2 1/2 -1/2 -7/4 1/4
4 0 * 4 0 = 2 -2.
5)
Planteas la expresión de tu enunciado:
A2 + B2 =
-7/4 1/4 55/4 25/4 12 13/2
2 -2 + 15/2 15/2 = 19/2 11/2.
Espero haberte ayudado.
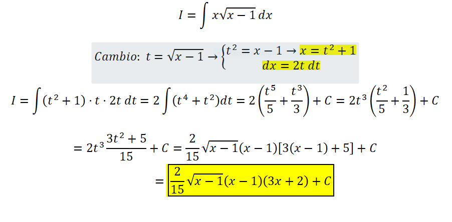
Buenas, tengo problemas para resolver esta integral, se supone que la tengo que resolver por cambio de variable. Intenté resolverla tratando la raíz como potencia pero me surge el problema de donde hacer el cambio de variable, puesto que no encuentro como relacionar el interior de la raíz con la X que queda sola.

Comienza por hacer pasaje de término en la segunda ecuación, y queda:
y = 1 - x (1).
Luego, sustituyes la expresión señalada (1) en la primera ecuación, y queda:
x2 + x*(1 - x) + (1 - x)2 = 21;
luego, distribuyes el segundo término, desarrollas el binomio elevado al cuadrado, y queda:
x2 + x - x2 + 1 - 2*x + x2 = 21;
luego, reducs términos semejantes en el primer miembro (observa que tienes cancelaciones), y queda:
x2 - x + 1 = 21;
luego, haces pasaje de término, reduces términos numéricos, y queda:
x2 - x - 20 = 0,
que es una ecuación polinómica cuadrática cuyas soluciones son:
1)
x = -4, reemplazas en la ecuación señalada (1), resuelves, y queda: y = 5;
2)
x = 5, reemplazas en la ecuación señalada (1), resuelves y queda: x = -4.
Espero haberte ayudado.

Comienza por hacer pasaje de término en la segunda ecuación, y queda:
x = 1 - y (1).
Luego, sustituyes la expresión señalada (1) en la primera ecuación, y queda:
(1 - y)2 + (1 - y)*y + y2 = 21;
luego, distribuyes el segundo término, desarrollas el binomio elevado al cuadrado, y queda:
1 - 2*y + y2 + y - y2 + y2 = 21;
luego, reduces términos semejantes en el primer miembro (observa que tienes cancelaciones), y queda:
y2 - y + 1 = 21;
luego, haces pasaje de término, reduces términos numéricos, y queda:
y2 - y - 20 = 0,
que es una ecuación polinómica cuadrática cuyas soluciones son:
1)
y = -4, reemplazas en la ecuación señalada (1), resuelves, y queda: x = 5;
2)
y = 5, reemplazas en la ecuación señalada (1), resuelves y queda: x = -4.
Espero haberte ayudado.
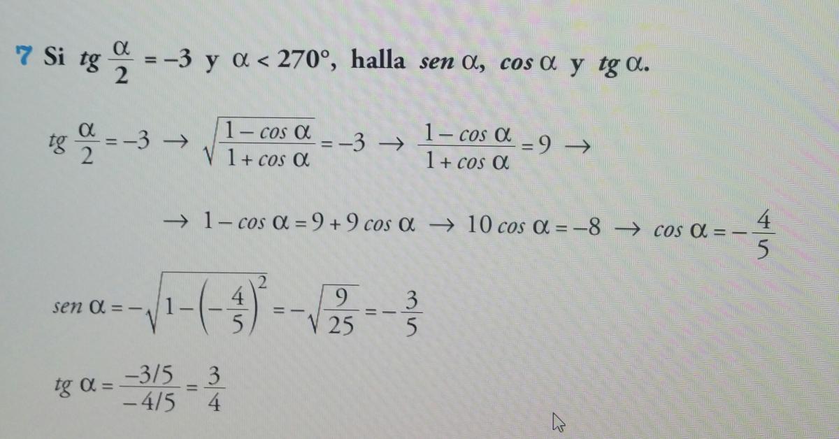
Hola. En este ejercicio alfa no pertenece al segundo cuadrante? Por que es entonces el seno negativo? ![]()
Como que la tangente es negativa, el ángulo solo puede pertenecer al segundo o al cuarto cuadante y como nos dicen que debe de ser menor a 270º, el ángulo pertenece al segundo cuadrante. Pero este ángulo es el alpha/2. Luego el ángulo alpha pertenece al tercer cuadrante como ves por los cálculos hechos.
Saludos.

1)
Recuerda la identidad trigonométrica de la tangente del doble de un ángulo:
tan(2u) = 2*tan(u) / ( 1 - tan2(u) ).
Luego, si planteas la sustitución (cambio de incógnita):
u = α/2, aquí haces pasaje de divisor como factor y queda: 2u = α;
luego, sustituyes las expresiones remarcadas en la identidad trigonométrica, y queda:
tan(α) = 2*tan(α/2) / ( 1 - tan2(α/2) );
luego, reemplazas el valor que tienes en tu enunciado, y queda:
tan(α) = 2*(-3) / ( 1 - (-3)2 ) = -6 / (1 - 9) = -6/(-8) = 3/4.
2)
Recuerda la identidad trigonométrica:
cos2(α) = 1/( 1 + tan2(α) );
luego, sustituyes el valor de la tangente en el segundo miembro, y queda:
cos2(α) = 1/(1 + (3/4)2), resuelves el denominador en el segundo miembro, y queda
cos2(α) = 1/(25/16), resuelves el segundo miembro, y queda:
cos2(α) = 16/25, haces pasaje de potencia como raíz, y tienes dos opciones:
2a)
cos(α) = 4/5 que no es una solución para este problema:
observa que aquí tienes que α pertenece al primer cuadrante y su tangente es positiva,
o α pertenece al cuarto cuadrante y α es mayor que 270°;
2b)
cos(α) = -4/5 que si es una solución para este problema:
observa que aquí tienes que α pertenece al segundo cuadrante y su tangente es negativa,
o α pertenece al tercer cuadrante y su tangente es positiva, como hemos visto en el primer paso.
3)
Recuerda la identidad trigonométrica:
sen2(α) = tan2(α)/( 1 + tan2(α) );
luego, sustituyes el valor de la tangente en el segundo miembro, y queda:
sen2(α) = (3/4)2/(1 + (3/4)2), resuelves el denominador en el segundo miembro, y queda
sen2(α) = (9/16)/(25/16), resuelves el segundo miembro, y queda:
sen2(α) = 9/25, haces pasaje de potencia como raíz (observa que elegimos la solución negativa, porque ya sabemos que o α pertenece al tercer cuadrante), y queda:
sen(α) = -3/5.
Espero haberte ayudado.

Se trata de una ecuación bicuadrada, Lo primero que debes hacer es transformar x2 a t y x4 a t2 . Esto es muy sencillo, simplemente pon x2 = t ; x4 = t2 .
Ahora te queda esto: t2 - 10t + 9 = 0
Lo resuelves con la fórmula, como una ecuación al cuadrado y una vez tienes los resultados, recuerda que son los resultados de t, debes transformarlos haaciendo la raíz. Al final debes tener cuatro soluciones.
Espero que te sirva de algo
Hola, en el siguiente ejercicio de probabilidad, cuando lanzamos dos monedas, por qué la probabilidad de obtener una cara es 1/4, si no se ha obtenido una cara, la probabilidad no debería ser cero?
Gracias
Fijate que cuando lanzamos una moneda, podemos sacar cara o no. Por tanto, si lanzamos dos veces una moneda, tenemos que podemos sacar 0 caras, 1 cara o 2 caras. Nuestro espacio muestral sería {(0,0), (0,1), (1,0), (1,1)} dónde el primer valor es 0 si no ha sacado cara y 1 si ha sacado cara, y lo mismo para el siguiente lanzamiento. Por tanto, vemos que si tenemos {0,0} obtenemos 0+0=0 caras. Con (0,1) obtenemos 0+1=1 cara y así con el resto. Por tanto la probabilidad de sacar 0 caras es 1/4, la de sacar 1 cara es 2/4=1/2, y la de sacar 2 caras es 1/4.
Saludos.