Foro de preguntas y respuestas de Matemáticas

logo beUnicoos
Los foros de unicoos se han unificado en nuestra nueva plataforma beUnicoos. Para dejar nuevas preguntas deberás hacerlo allí, donde además podrás encontrar nuevas asignaturas y herramientas para ayudarte más con tus estudios.

  • icon

    David Poyatos
    el 7/2/18

    Hola cómo se resolvería el siguiente ejercicio:

    Sea un hexágono del lado superior del hexágono se dibuja una semicircunferencia que junto con el lado forman un semicírculo. Sea L la longitud del lado.

    Por debajo de este se dibuja un arco circular de radio L y de centro el punto situado en la mediatriz de dicho lado, a una distancia L de este.

    Calcula el área de la figura firmada por la semicircunferencia y el arco.

    replythumb_up0 voto/sflag
    icon

    Antonius Benedictus
    el 7/2/18

    Pon foto del enunciado original, por favor.


    thumb_up0 voto/sflag
  • icon

    Jaquelin
    el 7/2/18

    Hola, me ayudan con este ejercicio?

    Hallar los posibles valores de "a" para que la parábola y= -x2 -ax-5 tenga contacto con el eje x pero no lo atraviese.

    replythumb_up0 voto/sflag
    icon

    Antonius Benedictus
    el 7/2/18

    Obliga a que la ecuación -x^2 -ax -5  tenga solución única (discriminante igual a 0).

    thumb_up0 voto/sflag
    icon

    Guillem De La Calle Vicente
    el 7/2/18


    thumb_up0 voto/sflag
  • Usuario eliminado
    el 7/2/18

    Buenas tardes, quería saber como harían ustedes estos 3 problemas porque, sinceramente y no es por aprovecharme ni se hacerlo:

    Los tres últimos clientes de un restaurante han perdido los resguardos de sus sombreros y, por tanto, el encargado del guardarropa entrega los tres sombreros al azar. La probabilidad de que los tres reciban el sombrero correcto es…

     1/2----1/3---1/6----2/3 POSIBLES RESPUESTAS.

    Seis chicos se sientan alrededor de una mesa redonda para comer. Dos amigos Pedro y Juan se quieren sentar juntos, pero entre todos deciden sentarse al azar. ¿Cuál es la probabilidad de que Pedro y Juan no se sienten juntos? 1/3------3/5----------2/5-----1/6 posibles respuestas

    Se lanza una moneda 3 veces y sea la variable X1 número de caras obtenidas. Seguidamente se lanza un dado y sea X2 el resultado obtenido en dicho lanzamiento. ¿Cuál es la probabilidad de que X1*X2 > 12?  1/16------6/24--------14/48-------------1/24 posibles respuestas, gracias.

    replythumb_up0 voto/sflag
    icon

    Antonius Benedictus
    el 7/2/18

    El 1º:


    thumb_up1 voto/sflag
    icon

    Antonius Benedictus
    el 7/2/18

    El 2º (permutaciones circulares):


    thumb_up1 voto/sflag
    icon

    Antonius Benedictus
    el 7/2/18

    3º (revisa bien el enunciado)


    thumb_up1 voto/sflag

    Usuario eliminado
    el 7/2/18

    Muchas gracias Don Antonio Benito; me acabo de dar cuenta del enunciado de la 3º y de la resolución de las permutaciones circulares, ahora lo entiendo.

    Gracias de nuevo

    thumb_up0 voto/sflag
    icon

    Guillem De La Calle Vicente
    el 7/2/18


    thumb_up1 voto/sflag

    Usuario eliminado
    el 7/2/18

    GRACIAS A TÍ TAMBIÉN GUILLEM

    thumb_up0 voto/sflag
  • icon

    Marest
    el 7/2/18

    3º ESO

    Me piden hallar el valor de k en el polinomio kx4 + 3kx2 + 4x − 1   para que sea divisible por ( x − 3 )

    Muchas gracias.

     

    replythumb_up0 voto/sflag
    icon

    César
    el 7/2/18

    icon

    Guillem De La Calle Vicente
    el 7/2/18


    thumb_up0 voto/sflag
  • icon

    Marest
    el 7/2/18

    3º ESO

     Necesito ayuda.

        1.- Expresa como un producto notable: 

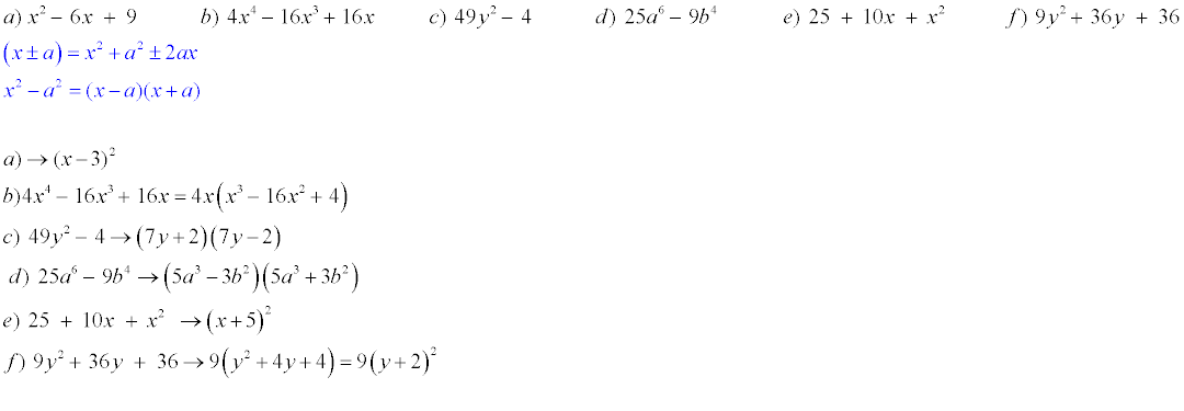
         a) x2 − 6x + 9              b) 4x4 − 16x3 + 16x            c) 49y2 − 4              d) 25a6 − 9b4              e) 25 + 10x + x2             f) 9y2 + 36y + 36

    Muchas gracias.


    replythumb_up0 voto/sflag
    icon

    César
    el 7/2/18

    icon

    Guillem De La Calle Vicente
    el 7/2/18


    thumb_up0 voto/sflag
  • icon

    Marest
    el 7/2/18

    3º ESO

    Me pueden ayudar?

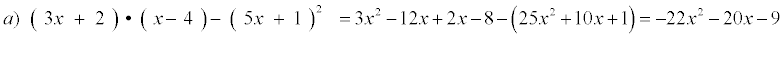
         1.- Desarrolla las siguientes expresiones:   a)  ( 3x + 2 ) • ( x − 4 ) − ( 5x + 1 )2              b)   ( − 2x2 ) • (x − 3 )2 + ( 6x − 2) • ( 2x2 − 3x )         c)   ( x − 2 ) • ( 2x + 3 )2 − ( 5x + 6 ) • ( 5x − 6)


    replythumb_up0 voto/sflag
    icon

    César
    el 7/2/18


    Intenta tú hacer algo , es sencillo



    thumb_up0 voto/sflag
    icon

    Guillem De La Calle Vicente
    el 7/2/18


    thumb_up0 voto/sflag
  • icon

    Sofia Enriquez
    el 7/2/18

    ayuda con esto!

    Gracias de antemano !

    replythumb_up0 voto/sflag
    icon

    César
    el 7/2/18

    Una ayudita si sigues teniendo dificultades nos cuentas


    thumb_up0 voto/sflag
    icon

    Guillem De La Calle Vicente
    el 7/2/18


    thumb_up0 voto/sflag
    icon

    Guillem De La Calle Vicente
    el 7/2/18


    thumb_up0 voto/sflag
    icon

    Guillem De La Calle Vicente
    el 7/2/18


    thumb_up0 voto/sflag
  • icon

    Livaldo Ocanto
    el 7/2/18

    para calcular el dominio de esto, tengo una duda, con esta restricción senx ≥ -1/2 como se yo cuando el senx es mayor que -1/2 necesito saberlo en la gráfica, yo se que la parte que yo marque de amarillo es solución porue ahi el senx > 0 pero siento que me estoy comiendo algo, si me pudieran mostrar como seria realmente y como escribiría el dominio final

    replythumb_up0 voto/sflag
    icon

    César
    el 7/2/18



    thumb_up0 voto/sflag
    icon

    Livaldo Ocanto
    el 7/2/18

    como llegas a que x esta contenida entre 2kπ-π/6 y 2πk - 7π/6

    thumb_up0 voto/sflag
  • icon

    julian bernal
    el 7/2/18

    es asi

    replythumb_up0 voto/sflag
    icon

    Antonius Benedictus
    el 7/2/18

    Pues muy bien, Julián.

    thumb_up0 voto/sflag
  • icon

    julian bernal
    el 7/2/18

    Amigos mi profesor me pidio definir formalmente que es una recta tangente se refiere al la simbologia matematica pero no tengo idea

    replythumb_up0 voto/sflag
    icon

    Antonius Benedictus
    el 7/2/18

    https://es.wikipedia.org/wiki/Recta_tangente


    thumb_up0 voto/sflag