Foro de preguntas y respuestas de Matemáticas

logo beUnicoos
Los foros de unicoos se han unificado en nuestra nueva plataforma beUnicoos. Para dejar nuevas preguntas deberás hacerlo allí, donde además podrás encontrar nuevas asignaturas y herramientas para ayudarte más con tus estudios.

  • icon

    Sergio
    el 9/1/18


    replythumb_up0 voto/sflag
    icon

    Antonius Benedictus
    el 9/1/18


    thumb_up1 voto/sflag
  • icon

    Froylan
    el 9/1/18

    Me pueden ayudar a despejar la Y en està derivada implicita



    replythumb_up0 voto/sflag
    icon

    Antonius Benedictus
    el 9/1/18

    Foto del enunciado, por favor.


    thumb_up0 voto/sflag
    icon

    Froylan
    el 9/1/18

    Calcula la derivada en forma implicita, de cada una de las siguientesexpresiones



    thumb_up0 voto/sflag
    icon

    Froylan
    el 9/1/18

    nada mas necesito saber como despejar la "y"


    thumb_up0 voto/sflag
    icon

    Axel Morales Piñón.
    el 10/1/18


    thumb_up0 voto/sflag
  • icon

    Inés García
    el 9/1/18

    Tengo otra duda muy importante. Por favor, ¿alguien me puede explicar dónde he fallado, por favor? Muchísimas gracias por todo.

    replythumb_up0 voto/sflag
    icon

    Antonius Benedictus
    el 9/1/18

    El menos de delante sobra y te has comido elevar al cubo el resultado del corchete.

    thumb_up2 voto/sflag
    icon

    Inés García
    el 9/1/18

    Claro, ya lo he entendido. Muchísimas gracias.

    thumb_up1 voto/sflag
  • icon

    Naiara
    el 9/1/18

    No sé si la respuesta de la c es 1 o 0 me podrías ayudar? 

    Gracias!

    replythumb_up0 voto/sflag
    icon

    Antonius Benedictus
    el 9/1/18


    thumb_up0 voto/sflag
  • icon

    Inés García
    el 9/1/18

    Buenas tardes, ¿alguien me puede ayudar con esta inecuación, por favor? Es que no sé como seguir. Muchísimas gracias.

    replythumb_up0 voto/sflag
    icon

    Antonius Benedictus
    el 9/1/18

    Pones x=0, y=0  (el origen de coordenadas) y te queda;  0<7.

    Esto significa que, de los dos semiplanos determinados por la recta, has de escoger el que contiene al origen.

    thumb_up1 voto/sflag
    icon

    Inés García
    el 9/1/18

    Vale, genial. Creo que ya lo he entendido. ¡Muchas gracias!

    thumb_up1 voto/sflag
  • icon

    Felipe Bedoya
    el 9/1/18

    Alguien tiene apuntes sobre series útiles?

    replythumb_up0 voto/sflag
  • icon

    Roy
    el 9/1/18

    Cómo hago el 19?

    replythumb_up0 voto/sflag
    icon

    César
    el 9/1/18


    thumb_up0 voto/sflag
  • icon

    Pablo Teruel
    el 9/1/18


    replythumb_up0 voto/sflag
    icon

    Antonius Benedictus
    el 9/1/18


    thumb_up0 voto/sflag
    icon

    Pablo Teruel
    el 9/1/18

    Perdona, pero se ha cortado la respuesta, agradecería que me dijeses que pone

    thumb_up0 voto/sflag
    icon

    Antonius Benedictus
    el 9/1/18


    thumb_up0 voto/sflag
  • icon

    Roy
    el 9/1/18

    Cómo hago el 16?

    replythumb_up0 voto/sflag
    icon

    Antonius Benedictus
    el 9/1/18


    thumb_up0 voto/sflag
    icon

    Antonius Benedictus
    el 9/1/18

    Corrección de errata de 3ª línea:


    thumb_up0 voto/sflag
  • icon

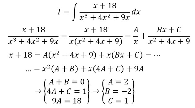
    Angel
    el 9/1/18

    alguien puede resolver la 10? Gracias.

    replythumb_up0 voto/sflag
    icon

    Axel Morales Piñón.
    el 10/1/18


    thumb_up0 voto/sflag
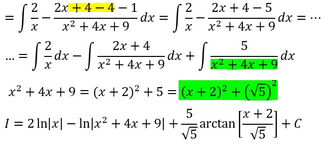
    icon

    Angel
    el 10/1/18

    C no sería=-7?

    thumb_up0 voto/sflag
    icon

    Ángel
    el 10/1/18

    Sí,

    porque 9A=18 ----->  A=2   ;   

    A+B=0 ----->   2+B=0 -->  B= -2   ;   

    4A+C=1 ----->  4*2 +C =1  ---->  8 +C =1 ---->  C= 1-8  ---> C= -7

    thumb_up0 voto/sflag
    icon

    Axel Morales Piñón.
    el 11/1/18

    ¡Buen ojo!

    thumb_up0 voto/sflag