Hola a todos, me surgió una duda en un ejercicio y vería si alguien me la puede resolver. Dentro de una figura geométrica (no tiene por qué ser el paralelogramo que está adjunto aquí abajo ya que si no se resolvería usando la media aritmética) ¿Como podemos hallar el punto de intersección entre dos diagonales? (EL PUNTO M) Sabiendo que A(2,7) B(8,-3) C(0,-10) y D(-6,0)
(era algo del uso la ecuación en forma continua de las dos y haciendo un sistema de ecuaciones?)

Seguimos la propuesta del colega Neófito.
Es muy conveniente que hagas un gráfico cartesiano y señales en él los cuatro vértices, a fin de visualizar los pares de vértices que son extremos de cada diagonal del cuadrilátero.
1°)
Para la recta que une los vértices A y C tienes:
m = (-10-7)/(0-2) = -17/(-2) = 17/2, que es su pendiente;
luego, plantea la ecuación punto-pendiente (observa que empleamos las coordenadas del vértice A):
y-7 = (17/2)*(x-2), distribuyes en el segundo miembro, y queda:
y-7 = (17/2)*x - 17, haces pasaje de término, reduces términos semejantes, y queda
y = (17/2)*x - 10 (1).
2°)
Para la recta que une los vértices B y D tienes:
m = (0+3)/(-6-8) = 3/(-14) = -3/14;
luego, plantea la ecuación punto-pendiente (observa que empleamos las coordenadas del vértice B):
y+3 = -(3/14)*(x-8), distribuyes en el segundo miembro, y queda:
y+3 = -(3/14)*x + 12/7, haces pasaje de término, reduces términos semejantes, y queda
y = -(3/14)*x - 9/7 (2).
3°)
Igualas las expresiones señaladas (1) (2), y queda:
(17/2)*x - 10 = -(3/14)*x - 9/7, multiplicas por 14 en todos los términos de la ecuación, y queda:
119*x - 140 = -3*x - 18, haces pasajes de términos, reduces términos semejantes, y queda:
122*x = 122, haces pasaje de factor como divisor, resuelves, y queda:
x = 1, que es la abscisa del punto de intersección entre las dos diagonales del cuadrilátero;
luego, reemplazas el valor remarcado en la ecuación señalada (1), y queda:
y = (17/2)*1 - 10 = 17/2 - 10 = -3/2, que es la ordenada del punto de intersección entre las dos diagonales del cuadrilátero;
y puedes verificar la validez de la ordenada, reemplazas el primer valor remarcado en la ecuación señalada (2), y queda:
y = -(3/14)*1 - 9/7 = -3/14 - 9/7 = -3/2;
por lo tanto tienes que el punto de intersección entre las diagonales es: M(1,-3/2).
Espero haberte ayudado.
También, si no está de más añadir, puedes usar una propiedad de los triángulos rectángulos, cuando te dicen que un triángulo rectángulo tiene dos catetos de igual longitud, quiere decir que es isósceles rectángulo, por lo cual, la propiedad de ese tipo de triángulos dice que la hipotenusa es √2 veces un cateto cualquiera.
Aplicando la propiedad, sabemos que la hipotenusa mide 6, entonces, podemos decir que 6=x√2 , despejamos x y queda que: x=6/√2 , racionalizando y simplificando, te quedaría que x=3√2 . Solo para el caso en que se de que tengas dos catetos iguales, esta propiedad funciona, en caso contrario, usa Pitágoras, que también es muy útil para este tipo de problemas.

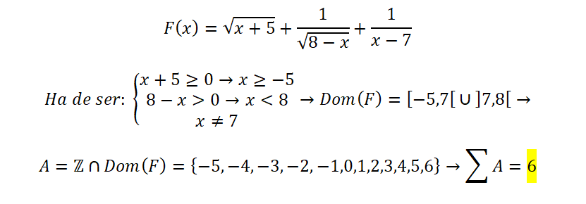
Huy sorry yo puse 5 cuando debe ser -5 (en el conjunto solución) y de hecho cambia la situación
x + 5 ≥ 0 ∧ 8 - x > 0 ∧ x ≠ 7
De donde :
x ∈ [- 5 , 8 ) - { 7 }
los enteros allí son : -5 , -4 , -3 , -2 , -1 , 0 , 1 , 2 , 3 , 4 , 5 , 6
Desde -5 hasta 5 se anulan al sumar sólo queda el 6 como resultado final .
*** Ya lo he quitado ese comentario para evitar confusiones .
Alguien que pueda ayudarme con este ejercicio de combinatoria , no logro hayar su solucion , gracias .
Se consideran los siguientes n ́umeros: -5, -4, -3, -2, -1, 1, 2, 3, 4. ¿De cu ́antas maneras se pueden seleccionar cuatro numeros de modo que su producto sea positivo?
Buenas trades, estoy en primero de bachillerato y el profe nos ha explicado las derivadas implicitas
solo hemos hecho un ejercicio y me puso de deberes este .. que no logro salir de el
os pongo lo que llevo hecho pero necesito ayuda
enunciado:SEN AL CUADRADO DE X AL CUADRADO POR Y MENOS LA TANG DE 6X POR Y AL CUADRADO IGUAL A 3
NO LOGRO PODER ESCRIBIR EL ENUNCIADO DE OTRA FORMA