
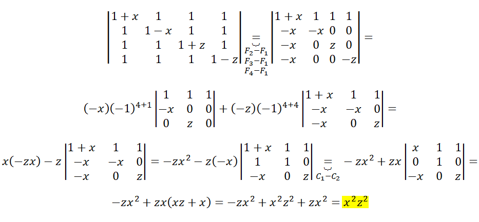
1)
Vamos con una orientación.
Recuerda la expresión de la suma en algunas series finitas:
∑(n=1,N) qn = q*(1-qN)/(1-q) (1) (serie geométrica de razón q),
∑(n=1,N) 1 = N (2) (serie constante),
∑(n=1,N) n = N*(N+1)/2 (3).
(a)
∑(n=0,N) 3*(1/2)n = 3*(1/2)0 + ∑(n=1,N) 3*(1/2)n = 3*1 + 3*∑(n=1,N) (1/2)n = 3 + 3*∑(n=1,N) (1/2)n =
sustituyes la expresión señalada (1), observa que tienes: q = 1/2, y queda:
= 3 + 3*(1/2)*( 1 - (1/2)N )/(1-1/2) = 3 + 3*(1/2)*( 1 - (1/2)N )/(1/2) = 3 + 3*( 1 - (1/2)N ),
y luego tomas el límite para N tendiendo a +infinito (observa que en este caso la serie es convergente).
b)
∑(n=1,N) (-4)/6n+1 = ∑(n=1,N) (-4)/(6n*61) = ∑(n=1,N) (-4)/(6n*6) = ∑(n=1,N) (-2)/(6n*3) =
= (-2/3)*∑(n=1,N) 1/6n = (-2/3)*∑(n=1,N) (1/6)n, y observa que puedes sustituir la expresión señalada (1) con q= 1/6, y resolver en forma similar a la que sugerimos para el ejercicio (a).
Luego, todos los demás ejercicios, excepto (c) y (g), puedes plantearlos en formas similares a los dos anteriores.
c)
∑(n=1,N) (2*n-3) = ∑(n=1,N) (2*n-3*1) = ∑(n=1,N) 2*n - ∑(n=1,N) 3*1 =
= 2*∑(n=1,N) n - 3*∑(n=1,N) 1 =
sustituyes la expresión señalada (3) en el primer término, y la expresión señalada (2) en el segundo, y queda:
= 2*N*(N+1)/2 - 3*N = N*(N+1) - 3*N = N*(N+1 - 3) = N*(N-2);
y luego tomas el límite para N tendiendo a +infinito (observa que en este caso la serie es divergente.
g)
Puedes plantear la sustitución (camio de índice): n = t+4, y observa que t varía desde 1 a +infinito,
luego sustituyes, y queda:
∑(t=1,N) ( -(t+4)/2 + 3) = ∑(t=1,N) ( -(1/2)*t - 2 + 3 ) = ∑(t=1,N) ( -(1/2)*t + 1 ) = ∑(t=1,N) ( -(1/2)*t + 1*1 ) =
= ∑(t=1,N) -(1/2)*t + ∑(t=1,N) 1*1 = -(1/2)*∑(t=1,N) t + 1*∑(t=1,N) 1 =
sustituyes la expresión señalada (3) en el primer término, y la expresión señalada (2) en el segundo, y queda:
= -(1/2)*N*(N+1)/2 + 1*N = N*( -(1/2)*(N+1) + 1 ) = N*( -(1/2)*N - 1/2 + 1 ) ) =
= N*( -(1/2)*N + 1/2 ) = N*(1/2)*(-N+1) = N*(-N+1)/2;
y luego tomas el límite para N tendiendo a +infinito (observa que en este caso la serie es divergente.
Me gustaría saber por qué aún no han encontrado una fórmula para los números primos. Gracias de antemano, un saludo.
Empezamos por definir qué es lo que entendemos por "fórmula para los números primos": aquella que genera todos y cada uno de los números primos, sin excepción alguna.
Están por comprobar:
*Los números primos de Mersenne (se obtiene un primo cada muchos meses) https://es.wikipedia.org/wiki/N%C3%BAmero_primo_de_Mersenne https://www.youtube.com/watch?v=FFM2xfBhDRI&t=26 https://www.youtube.com/watch?v=BGryZFh1Wq8
*El teorema de Mills (no sabemos si la constante obtenida es racional o no) apoyado de la hipótesis de Riemann(sin comprobar) https://es.wikipedia.org/wiki/Teorema_de_Mills
El problema para la verificación de estos teoremas es que suponemos que sabemos conocer el número primo enésimo, pero no cómo hacerlo en un tiempo polinómico (tiempo razonable, especificado en este enlace https://es.wikipedia.org/wiki/P_(clase_de_complejidad)
https://elpais.com/tecnologia/2017/05/19/actualidad/1495202801_698394.html
---------------------------------------------
**No hay consenso ni certidumbre acerca de si se va a encontrar una solución o no, por el momento dan un premio de 1.000.000$ por demostrar P=NP, así que a darle caña jj
https://www.youtube.com/watch?v=UR2oDYZ-Sao
Dada la curva: y = x /(1 + x2 ) halla su campo de definicion, intervalos de crecimiento y decrecimiento; maximos y minimos relativos; maximos y minimos absolutos en [−2, 2] y asintotas.
pueden ayudarme nunca se hacer este tipo de ejercicios.
Campo de definición. (Dominio y recorrido/rango/imagen)
y = x /(1 + x2 )
Para ver el dominio hemos de encontrar (si lo/s hubiere) los puntos de discontinuidad (en los que el denominador 1 + x2 =0 ) para descartarlos del mismo:
1 + x2 =0 --------> x2 = -1 ------> x= √-1 -------> No hay valores de x pertenecientes al conjunto ℛ de los reales que verifiquen la igualdad, luego no descartamos ningún punto del dominio.
Por lo tanto, el dominio abarca todo ℛ = (-inf,inf)
y =x /(1 + x2 )
Para encontrar la imagen/rango o recorrido de la función:
y*(1 + x2 ) =x
y + yx2 =x
yx2 -x + y= 0
x1,2= (1±√(1-4*y*y)/(2*y)
x1,2= (1±√(1-4y2)/(2y)
Observa que todo valor de y que cumpla la desigualdad en el discriminante 1-4y2 ≥ 0 (por estar dentro de la raíz) pertenecerá al conjunto imagen. Hallamos los intervalos que la definen:
1-4y2 ≥ 0
4y2 ≤ 1
y2 ≤ 1/4
y ≤ √(1/4)
y ≤ ±1/2
y1 ≤ 1/2
y2 ≥ -1/2
-1/2 ≤ Imagen ≤ 1/2 -------------------------> Imagen = [-1/2 , 1/2]
Intervalos de crecimiento y decrecimiento: https://www.symbolab.com/solver/step-by-step/monotone%20intervals%20%5Cfrac%7Bx%7D%7B1%2Bx%5E%7B2%7D%7D?or=related
Máximos y mínimos relativos; maximos y minimos absolutos en [−2, 2] : https://www.symbolab.com/solver/step-by-step/extreme%20points%20%5Cfrac%7Bx%7D%7B1%2Bx%5E%7B2%7D%7D?or=related
(recuerda tener en cuenta sólo el intervalo [−2, 2] cuando proceda)
b) 9x-3 - 42x+1 = 0
9x-3 = 42x+1
Ln(9x-3) = Ln(42x+1)
(x-3)*Ln9 = (2x+1)*Ln4
(x-3)*Ln32 = (2x+1)*Ln22
2*(x-3)*Ln3 = 2* (2x+1)*Ln2
(2x-6)*Ln3 = (4x+2)*Ln2
c) 162x + 3*16x-1 = 7/64
(16x)2 + 3*(16x)/16 = 7/64
t2 + (3t)/16 = 7/64
64t2 + 12t = 7
64t2 + 12t - 7 = 0
Resolviendo la ec.de segundo grado queda:
t1 = 16x = 1/4 = 2-2 = (24)x ------> -2 = 4x ----> x= -1/2
t2 = 16x = -7/16 ------> No hay valor de equis perteneciente a los reales que verifique la igualdad.
Una maquina produce piezas de tipo A y de tipo B. La probabilidad que una pieza A sea defectuosa es 0,04 y la probabilidad de que una pieza B lo sea es 0,035. Calcular:
a) La probabilidad de que las dos piezas sean defectuosas.
b) la probabilidad de que ninguna de las dos piezas sean defectuosas.
c) la probabilidad que sea defectuosa la pieza A y no la pieza B.
d) la probabilidad de que al menos una de las dos sea defectuosa.
Muchas Gracias!!

A mi me da 4x/y. El secreto de este ejercicio es en primero restar las fracciones del numerador y denominador mediante el mínimo común múltiplo, segundo en operar bien la identidades notables que te aparecen después de la resta de fracciones y por último ir simplificando incógnitas mediante el factor común. Espero haberte ayudado