No se como se hace:
Halla la ecuación de la recta que pasa por los puntos A(0,0) y B(2,-5). Idem con los puntos C(-1,-3) y D(2,7). Representa ambas rectas. Indica si son funciones lineales o afines.

Te recomiendo este vídeo: https://www.youtube.com/watch?v=qFbJ-7gITww
(Ecuación punto pendiente 4ºESO geometría plana) de unicoos.
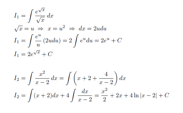
Alguien sabe cómo resolverlo, y decirme por favor qué tipo de ecuación es esta?
Lo único que sé es que es utilizada para evaluar posiciones en ajedrez
Gracias,

¡Hola! Nos encantaría ayudarte, pero no solemos responder dudas universitarias que no tengan que ver específicamente con los vídeos que David Calle ha grabado como excepción. O de otras asignaturas que no sean Matemáticas, Física y Química. Lo sentimos de corazón… Esperamos que lo entiendas.
Ojalá algún unicoo universitario se anime a ayudarte (de hecho, lo ideal es que todos los universitarios intentarais ayudaros los unos a los otros).
hola, sabéis si en los exámenes de 2º bachiller en geometría del plano, al calcular la posiciones relativas de planos suelen poner sistemas que puedan tener rango 4?