
¡Hola! Nos encantaría ayudarte, pero no solemos responder dudas universitarias que no tengan que ver específicamente con los vídeos que David Calle ha grabado como excepción. O de otras asignaturas que no sean Matemáticas, Física y Química. Lo sentimos de corazón… Esperamos que lo entiendas.
Ojalá algún unicoo universitario se anime a ayudarte (de hecho, lo ideal es que todos los universitarios intentarais ayudaros los unos a los otros).
usa el teorema de valor medio:
Por ejemplo para n=1, aplicamos al intervalo [1,0]
f'(x1) = f(1) - f(0) / (1-0) = f(1) = 1
para n=2 , dividimos el intervalo [1,0] en 2 intervalos iguales [0,1/2] y [1/2,1], y a cada uno aplicas el teorema:
f'(x1) = f(1/2) - f(0) / (1/2-0) = 2f(1/2)
f'(x2) = f(1) - f(1/2) / (1-(1/2)) = 2 - 2f(1/2)
luego
f'(x1) + f'(x2) = 2f(1/2) + 2 - 2f(1/2) = 2
para n=3 divides el intervalo [0,1] en 3 partes iguales: [0,1/3], [1/3,2/3] y [2/3,1]. Aplicando el teorema a los 3 intervalos, al sumar te va a dar 3 tambien. Lo unico que resta es usar induccion, eso te lo dejo

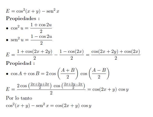
Unicoos, una pregunta, ¿hay algún error en esa identidad?, logro llegar a 2cos(x)cos(y) pero no logro encontrar que llegue a sen(y) aplicando propiedades. Gracias de antemano.
Tengo dudas sobre el siguiente ejercicio: hallar la ecuación de la recta coplanaria de la recta r de ecuación: 3x+5y-z=-2, x+2y+z=-4, incidente con el plano 2x-3y+6z+7=0, y que corta a la recta x/4=-y/2=z/7. Se me ocurre que para resolverlo se puede calcular el plano que incluye a la recta r y a la recta x/4=-y/2=z/7, ese plano cortará al plano 2x-3y+6z+7=0, pero la recta que formará con dicho plano no es la que nos piden, creo. ¿Voy bien encaminado?. Gracias por la ayuda. Un saludo.

¡Hola! Nos encantaría ayudarte, pero no solemos responder dudas universitarias que no tengan que ver específicamente con los vídeos que David Calle ha grabado como excepción. O de otras asignaturas que no sean Matemáticas, Física y Química. Lo sentimos de corazón… Esperamos que lo entiendas.
Ojalá algún unicoo universitario se anime a ayudarte (de hecho, lo ideal es que todos los universitarios intentarais ayudaros los unos a los otros).