Foro de preguntas y respuestas de Matemáticas

logo beUnicoos
Los foros de unicoos se han unificado en nuestra nueva plataforma beUnicoos. Para dejar nuevas preguntas deberás hacerlo allí, donde además podrás encontrar nuevas asignaturas y herramientas para ayudarte más con tus estudios.

  • icon

    Andrea
    el 10/12/17

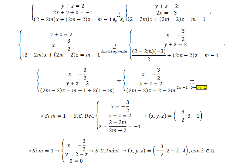
    Hola, alguien me podría ayudar a discutir este sistema?

    y + z = 2

    2x + y + z = -1

    (2-2m)x + (2m-2)z = m-1


    replythumb_up0 voto/sflag
    icon

    Antonius Benedictus
    el 10/12/17


    thumb_up0 voto/sflag
  • icon

    Alfredo Pérez
    el 10/12/17

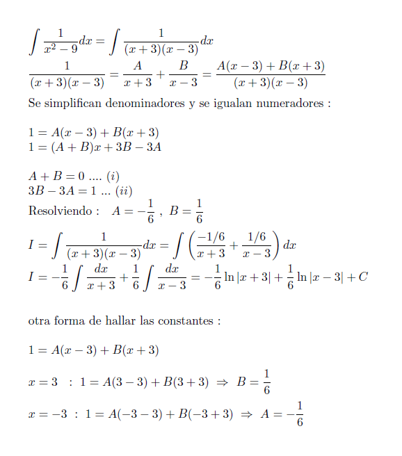
    Hola, me podrian ayudar con la siguiente integral por favor. Gracias

    ∫1/x^2-9 dx

    replythumb_up0 voto/sflag
    icon

    Neofito 007
    el 10/12/17

    Como lo quiere hacer ? sustitución trigonométrica o por fracciones parciales ?

    thumb_up0 voto/sflag
    icon

    Alfredo Pérez
    el 10/12/17

    por fracciones parciales


    thumb_up0 voto/sflag
    icon

    Neofito 007
    el 10/12/17


    thumb_up0 voto/sflag
  • icon

    maria
    el 10/12/17

    ¿Cómo se resuelve esta ecuación?

    2*(4^(2x)) + 4^(x+2) = (9*(4^x)) +4



    replythumb_up0 voto/sflag
    icon

    Axel Morales Piñón.
    el 10/12/17

    CAMBIO t=4x

    thumb_up0 voto/sflag
  • Usuario eliminado
    el 10/12/17

    Hola Unicoos tengo una duda, en este ejercicio  la respuesta deberia ser -1/√2



    replythumb_up0 voto/sflag
    icon

    Antonius Benedictus
    el 10/12/17

    Te has comido el " - " . Simplemente.

    thumb_up1 voto/sflag

    Usuario eliminado
    el 10/12/17

    entonces el libro tiene un error? la respuesta correcta es el mismo valor pero negativa

    thumb_up0 voto/sflag
    icon

    Antonius Benedictus
    el 10/12/17

    Ponme el límite original.

    thumb_up1 voto/sflag

    Usuario eliminado
    el 10/12/17


    thumb_up0 voto/sflag
    icon

    Antonius Benedictus
    el 10/12/17

    Esto queda así, y no hay más vueltas:


    thumb_up1 voto/sflag
  • icon

    marcos
    el 10/12/17

    En el ejercicio 2 , no se hacerlo de esa manera , solo a la inversa. ¿Me podeis ayudar?

    replythumb_up0 voto/sflag
    icon

    Antonius Benedictus
    el 10/12/17


    thumb_up0 voto/sflag
  • icon

    Mario
    el 10/12/17

    Hay vídeos de binomio de Newton.

    Gracias por vuestra atención.

    replythumb_up0 voto/sflag
  • icon

    Sr.M
    el 10/12/17

    Ayuda con este ejercicio por favor 

    replythumb_up0 voto/sflag
    icon

    Antonius Benedictus
    el 10/12/17


    thumb_up1 voto/sflag
    icon

    Sr.M
    el 10/12/17

    Muchas gracias Antonio !!!!!!!!

    thumb_up0 voto/sflag
  • icon

    Eva
    el 10/12/17

    Estoy atascadísima en este problema que también he de resolver en forma de sistema:

    Javier tiene 8 monedas y 3,10 €. Calcula cuántas monedas tiene de cada tipo sabiendo que son de 0,50 y de 0,20 €.

    replythumb_up0 voto/sflag
    icon

    Antonius Benedictus
    el 10/12/17

    x+y=8

    0.5x+0.2y=3.10


    x+y=8

    5x+2y=31


    y=8-x

    5x+2(8-x)=31


     y=8-x

    3x=15


    x=5 (monedas de 0.50)

    y=3 (monedas de 0.20)


    thumb_up2 voto/sflag
  • icon

    Jesus Garrido Garcia
    el 10/12/17

     hola, podrían ayudarme?

    Desde la orilla de un río, observamos la copa de un árbol situado en la otra orilla bajo un ángulo de 60º. Si nos alejamos 15 m de la orilla, el ángulo de observación es de 45º. Calcula la altura del árbol y la anchura del río

    gracias



    replythumb_up0 voto/sflag
    icon

    Antonius Benedictus
    el 10/12/17

    Cambia solo un dato:

    http://www.tagoras.es/archivos%20pdf/trigonometria04.pdf


    thumb_up1 voto/sflag