Me piden resolver el siguiente ejercicio en forma de ecuación:
Si aumentamos el lado de un cuadrado en 2 unidades, el área aumenta 20 unidades cuadradas.
Yo resuelvo en forma de ecuación así: (x·x)+20 =(x+2)2 pero me lo piden en forma de sitema. Alguién puede ayudarme?
hola, necesito ayuda con un ejercicio de conicas:
en el sistema (O, XY) , la ecuacion de la elipse que satisface las siguientes condiciones:
posee centro en el origen de coordenadas, semieje mayor sobre la recta de ecuación 2x-y=0 de longitud 10 y un vertice en A\ (2,-1).

¡Hola! Nos encantaría ayudarte, pero no solemos responder dudas universitarias que no tengan que ver específicamente con los vídeos que David Calle ha grabado como excepción. O de otras asignaturas que no sean Matemáticas, Física y Química. Lo sentimos de corazón… Esperamos que lo entiendas.
Ojalá algún unicoo universitario se anime a ayudarte (de hecho, lo ideal es que todos los universitarios intentarais ayudaros los unos a los otros).
Alguien me podría ayudar a resolver este ejercicio? Lo he intentado varias veces y no me sale...
PD: espero que no sea una molestia que los enunciados estén en catalán
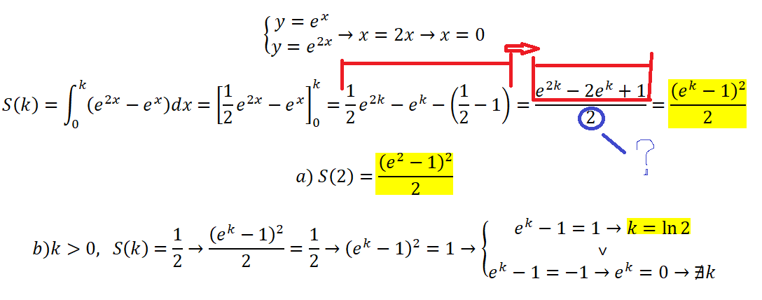
Hola, buenas tardees a todos, necesito ayuda con un problema:
Encuentra el área delimitada por las curvas y=e^x, y=e^2x y la recta x=k.
a) Busca el área comprendida por k=2
b) Determina k para que el área sea 1/2; k>0
Por definición de área hace la resta o diferencia de
(1/2)e2x-ex en el punto k, que es (1/2)e2k-ek
menos
(1/2)e2x-ex en el punto 0, que es (1/2)e2*0-e0 = (1/2)*e0 -e0 = (1/2)*1 - 1 = (1/2) - 1
https://www.vitutor.com/integrales/definidas/areas_integrales.html

a)
Observa que el punto A(1,ln2) pertenece a la curva, por lo que es el punto de contacto de la gráfica de la función con la recta tangente y con la recta normal.
Luego, planteas la expresión de la función derivada, y queda:
g ' (x) = 2x/(x2+1),
luego, evalúas para la abscisa del punto de contacto, y queda:
g ' (1) = 2/2 = 1, que es la pendiente de la recta tangente en el punto de contacto,
luego, plantea la condición de perpendicularidad, y tienes para la pendiente de la recta normal:
m = -1 / g ' (1) = -1/1 = -1,
luego, plantea la ecuación punto-pendiete de la recta normal a la gráfica de la función en el punto de contacto:
y = -1*(x - 1) + ln2.
b)
Plantea las coordenadas del punto de contacto: A(a,b), con b = g(a),
luego sustituyes la expresión de la función evaluada, y tienes la ecuación:
b = ln(a2+1) (1).
Luego, tienes la ecuación de una recta cuya pendiente es -1, y como es paralela a la recta tangente en el punto de contacto, tienes que la pendiente de la recta tangente también es igual a -1, por lo que puedes plantear:
g ' (x) = -1, evalúas para la abscisa del punto de contacto, y queda:
2a/(a2+1) = -1, haces pasaje de divisor como factor, y queda:
2a = -1(a2 + 1), distribuyes, haces pasajes de términos, y queda:
a2 + 2a + 1 = 0, que es una ecuación polinómica cuadrática, cuyas solución única es:
a = -1, reemplazas en la ecuación señalada (1), y queda: b = ln( (-1)2+1 ) = ln(2),
que corresponde a punto de contacto A( -1 , ln(2) );
Con sustento en la tarea del Colega Antonio Benito.
Espero haberte ayudado.