Necesito ayuda con este ej de integrales:
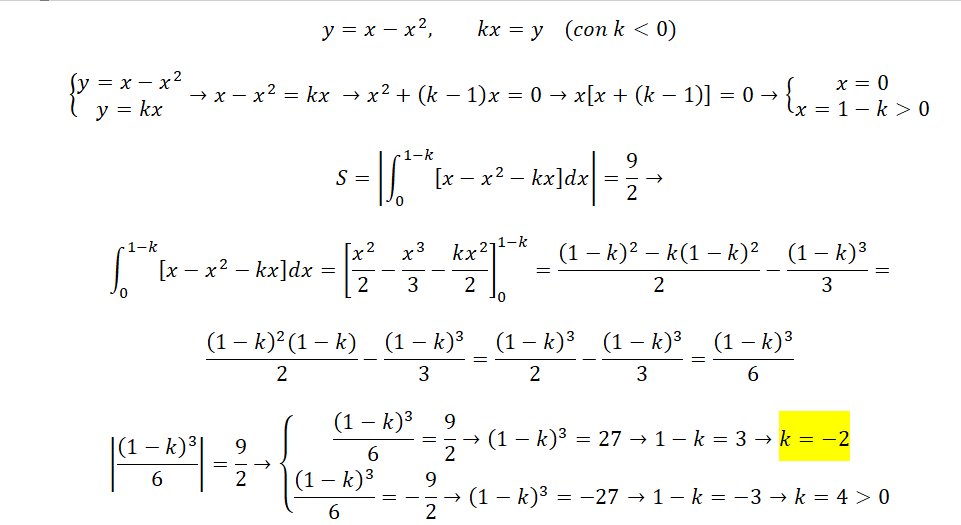
Halla k que pertenece a los Reales negativos, tal que el área encerrada por y= x-xalcuadrado y k*x=y sea 9/2.
¿Como se hace?
Es el valor absoluto, porque el área A= 9/2 = | 0∫1-k (x-x2-kx) dx |
https://www.vitutor.com/integrales/definidas/areas_integrales.html
Necesito ayuda con esta ecuación:
El primer paso es elevar al cuadrado los dos lados de la igualdad,pero llega un momento en el que la ecuación de segundo grado que debe quedar es 3481x²-9284x+4644=0,no consigo llegar a esto de ningún modo.

Elevas al cuadrado en ambos miembros, y queda:
( 2*√(4x + 1) )2 = (5*√(3x - 2) - 4)2, resuelves cuadrados en el primer miembro, desarrollas en el segundo miembro, y queda:
4*(4x + 1) = 25*(3x - 2) - 40*√(3x - 2) + 16, distribuyes agrupamientos, y queda:
16x + 4 = 75x - 50 - 40*√(3x - 2) + 16, haces pasajes de términos, reduces términos semejantes, y queda:
40*√(3x - 2) = 59x - 38, elevas al cuadrado en ambos miembros, y queda:
( 40*√(3x - 2) )2 = (59x - 38)2, resuelves cuadrados en el primer miembro, desarrollas en el segundo miembro, y queda:
1600*(3x - 2) = 3481x2 - 4484x + 1444, distribuyes en el primer miembro, y queda:
4800x - 3200 = 3481x2 - 4484x + 1444, haces pasajes de términos, reduces términos semejantes, y queda:
-3481x2 + 9284x - 4644 = 0, multiplicas en todos los términos de la ecuación por -1, y queda:
3481x2 - 9284x + 4644 = 0,
luego, resuelves la ecuación polinómica cuadrática, y tienes las soluciones:
x ≅ 0,6670,
x = 2.
Espero haberte ayudado.

¡Hola! Nos encantaría ayudarte, pero no solemos responder dudas universitarias que no tengan que ver específicamente con los vídeos que David Calle ha grabado como excepción. O de otras asignaturas que no sean Matemáticas, Física y Química. Lo sentimos de corazón… Esperamos que lo entiendas.
Ojalá algún unicoo universitario se anime a ayudarte (de hecho, lo ideal es que todos los universitarios intentarais ayudaros los unos a los otros).

Vamos con una orientación.
Plantea la definición de derivada direccional de la función en el punto A(0,0), en la dirección del vector unitario v = <v1,v2>:
Dvf(0,0) =
= Lím(t→0) ( f(0+tv1,0+tv2) - f(0,0) )/t =
sustituyes expresiones, cancelas el término nulo en el numerador, y queda:
= Lím(t→0) [ ( (tv1)3 + (tv2)3 ) / ( (tv1)2 + (tv2)2 ) ] / t =
distribuyes exponentes en los términos, extraes factores comunes en el numerador y en el denominador en el agrupamiento, y queda:
= Lím(t→0) [ ( t3*(v13 + v23) ) / ( t2*(v12 + v22) ) ] / t =
simplificas en el agrupamiento, y queda:
= Lím(t→0) [ t*(v13 + v23) ) / (v12 + v22) ] / t =
simplificas, y queda:
= Lím(t→0) (v13 + v23) / (v12 + v22) =
= (v13 + v23) / (v12 + v22) =
sustituyes en el denominador (recuerda que el vector v es unitario, por lo que tienes: |v|2 = ( √(v12 + v22) )2 = v12 + v22 = 1), y queda:
= (v13 + v23)/1 =
= (v13 + v23).
Espero haberte ayudado.

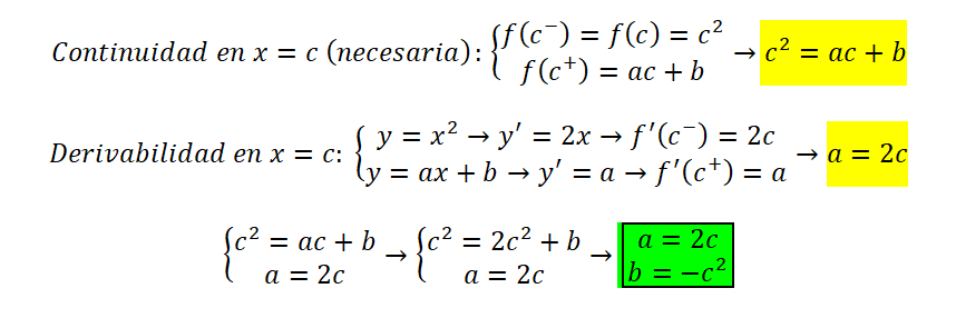
Recuerda que la continuidad en un punto es condición necesaria (pero no suficiente) para la derivabilidad de la función en dicho punto.
1°)
f(c) = c2;
2°)
Lím(x→c-) f(x) = Lím(x→c-) x2 = c2,
Lím(x→c+) f(x) = Lím(x→c+) (ax + b) = ac + b,
luego, para la existencia del límite tienes que los límites laterales deben ser iguales, por lo que tienes la ecuación: ac + b = c2 (1);
3°)
con la condición señalada (1) tienes que la función es continua en x = c.
Luego, plantea la expresión de la función derivada (también puedes hacerlo para cada trozo, por medio de la definición):
f ' (x) =
2x si x < c
a determinar si x = c
a si x > c;
luego, puedes estudiar los límites laterales de la función derivada para x tendiendo a c:
Lím(x→c-) f ' (x) = Lím(x→c-) 2x = 2c,
Lím(x→c+) f ' (x) = Lím(x→c+) a = a;
luego, plantea la igualdad de los límites laterales de la función derivada, y tienes la ecuación: a = 2c (2).
Luego, sustituyes la expresión señalada (2) en la ecuación señalada (1), y queda; 2c2 + b = c2, haces pasaje de término, y queda: b = -c2.
Luego, la expresión de la función queda:
f(x) =
x2 si x ≤ c
2cx - c2 si x > c;
y la expresión de la función derivada queda:
f ' (x) =
2x si x < c
2c si x = c
2c si x > c.
Espero haberte ayudado.